第20页
- 第1页
- 第2页
- 第3页
- 第4页
- 第5页
- 第6页
- 第7页
- 第8页
- 第9页
- 第10页
- 第11页
- 第12页
- 第13页
- 第14页
- 第15页
- 第16页
- 第17页
- 第18页
- 第19页
- 第20页
- 第21页
- 第22页
- 第23页
- 第24页
- 第25页
- 第26页
- 第27页
- 第28页
- 第29页
- 第30页
- 第31页
- 第32页
- 第33页
- 第34页
- 第35页
- 第36页
- 第37页
- 第38页
- 第39页
- 第40页
- 第41页
- 第42页
- 第43页
- 第44页
- 第45页
- 第46页
- 第47页
- 第48页
- 第49页
- 第50页
- 第51页
- 第52页
- 第53页
- 第54页
- 第55页
- 第56页
- 第57页
- 第58页
- 第59页
- 第60页
- 第61页
- 第62页
- 第63页
- 第64页
- 第65页
- 第66页
- 第67页
- 第68页
- 第69页
- 第70页
- 第71页
- 第72页
- 第73页
- 第74页
一、直接写出得数。
$\frac {17}{24}×\frac {9}{34}= $
$\frac {5}{6}×\frac {3}{20}= $
$\frac {7}{10}×\frac {7}{10}= $
$\frac {3}{10}×\frac {5}{12}= $
$\frac {3}{25}×\frac {5}{9}= $
$\frac {4}{5}×\frac {25}{18}= $
$\frac {7}{9}×\frac {3}{14}= $
$\frac {3}{8}×\frac {16}{9}= $
$\frac {5}{6}×\frac {4}{5}= $
$\frac {1}{6}×\frac {9}{14}= $
$\frac {5}{4}×\frac {2}{15}= $
$\frac {4}{3}×\frac {3}{8}= $
$\frac {17}{24}×\frac {9}{34}= $
$\frac {5}{6}×\frac {3}{20}= $
$\frac {7}{10}×\frac {7}{10}= $
$\frac {3}{10}×\frac {5}{12}= $
$\frac {3}{25}×\frac {5}{9}= $
$\frac {4}{5}×\frac {25}{18}= $
$\frac {7}{9}×\frac {3}{14}= $
$\frac {3}{8}×\frac {16}{9}= $
$\frac {5}{6}×\frac {4}{5}= $
$\frac {1}{6}×\frac {9}{14}= $
$\frac {5}{4}×\frac {2}{15}= $
$\frac {4}{3}×\frac {3}{8}= $
答案:
一、$\frac{3}{16}$ $\frac{1}{8}$ $\frac{49}{100}$ $\frac{1}{8}$ $\frac{1}{15}$ $\frac{10}{9}$ $\frac{1}{6}$ $\frac{2}{3}$ $\frac{2}{3}$ $\frac{3}{28}$ $\frac{1}{6}$ $\frac{1}{2}$
二、计算下面各题,能简算的要简算。
$\frac {5}{11}×\frac {22}{25}×\frac {10}{21}$
$\frac {3}{4}×12×\frac {4}{9}$
$\frac {5}{8}×\frac {4}{15}×40$
$\frac {5}{11}×\frac {22}{25}×\frac {10}{21}$
$\frac {3}{4}×12×\frac {4}{9}$
$\frac {5}{8}×\frac {4}{15}×40$
答案:
二、$\frac{4}{21}$ 4 $\frac{20}{3}$
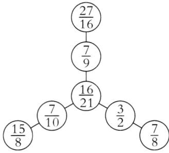
三、把$\frac {3}{2}$、$\frac {7}{8}$、$\frac {7}{9}$、$\frac {7}{10}$、$\frac {15}{8}$、$\frac {27}{16}$、$\frac {16}{21}$分别填入下面的〇里,使每条线上3个数的积都是1。

答案:
三、
(填法不唯一)
三、
四、新情境“祝融号”火星车 “祝融号”火星车是天问一号任务火星车,是我国的第一辆火星车。祝融号完成了对火星表面形貌、土壤、大气的探测,传回大量科学数据。“祝融号”每分钟大约可行
驶
$\frac {2}{3}$米,$\frac {15}{4}$分钟大约可行驶多少米?
答案:
四、$\frac{15}{4}×\frac{2}{3}=\frac{5}{2}$(米)
查看更多完整答案,请扫码查看