(1)计算 $18.6÷0.6$ 时,可以把被除数和除数都扩大到原来的
10
倍,变成186
÷6
,计算出的商是31
。
答案:
10 186 6 31
$0.56÷0.25=$
$5.2÷0.325=$
$2.88÷0.32=$
$0.928÷5.8=$
56
÷25$5.2÷0.325=$
5200
÷325
$2.88÷0.32=$
288
÷32
$0.928÷5.8=$
9.28
÷58
答案:
56 5200 325 288 32 9.28 58
2. 判一判,并改正。
(1)

改正:
(
(2)

改正:
(
(1)
改正:
(
×
)(2)
改正:
(
×
)
答案:
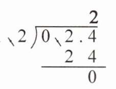
1. (1)
原计算错误,除数是$1.2$,被除数是$2.4$,根据小数除法的计算方法,把除数$1.2$转化为整数,即除数和被除数同时扩大$10$倍,变为$24÷12$。
$2.4÷1.2 = 2$,正确的竖式为:
```
2
12)24
24
---
0
```
所以括号内应填“×”。
2. (2)
原计算错误,除数是$0.25$,被除数是$16.0$,把除数$0.25$转化为整数,除数和被除数同时扩大$100$倍,变为$1600÷25$。
$16÷0.25=(16×4)÷(0.25×4)=64÷1 = 64$,正确的竖式为:
```
64
25)1600
150
---
100
100
---
0
```
所以括号内应填“×”。
故答案依次为:(1)×;(2)×。
原计算错误,除数是$1.2$,被除数是$2.4$,根据小数除法的计算方法,把除数$1.2$转化为整数,即除数和被除数同时扩大$10$倍,变为$24÷12$。
$2.4÷1.2 = 2$,正确的竖式为:
```
2
12)24
24
---
0
```
所以括号内应填“×”。
2. (2)
原计算错误,除数是$0.25$,被除数是$16.0$,把除数$0.25$转化为整数,除数和被除数同时扩大$100$倍,变为$1600÷25$。
$16÷0.25=(16×4)÷(0.25×4)=64÷1 = 64$,正确的竖式为:
```
64
25)1600
150
---
100
100
---
0
```
所以括号内应填“×”。
故答案依次为:(1)×;(2)×。
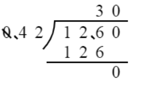
3. 用竖式计算。
$4.554÷1.8= $
$12.6÷0.42= $
$4.554÷1.8= $
2.53
$24÷0.64= $37.5
$12.6÷0.42= $
30
$3.36÷9.6= $0.35
答案:
$4.554÷1.8 = 2.53$

$24÷0.64 = 37.5$

$12.6÷0.42 = 30$

$3.36÷9.6 = 0.35$

$4.554÷1.8 = 2.53$
$24÷0.64 = 37.5$
$12.6÷0.42 = 30$
$3.36÷9.6 = 0.35$
4. 照这样的速度,这只乌龟 1 小时能爬多少千米?

答案:
0.1÷1.25=0.08(千米)
5.

(1)直升机的速度是动车的多少倍?
(2)请你再提出一个数学问题并解答。
(1)直升机的速度是动车的多少倍?
(2)请你再提出一个数学问题并解答。
答案:
(1)0.7÷0.14=5
(2)答案不唯一,如:动车的速度是轮船的多少倍? 0.14÷0.01=14
(1)0.7÷0.14=5
(2)答案不唯一,如:动车的速度是轮船的多少倍? 0.14÷0.01=14
6.素养题 明明在做题时发现,一个一位小数去掉小数点后,比原数增加了72.9。这个一位小数是多少?
答案:
72.9÷(10-1)=8.1
查看更多完整答案,请扫码查看