1. 算一算。

答案:



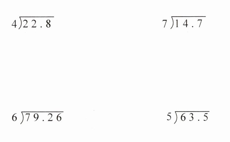
2. 用竖式计算。
$21.6÷9= $
$47.6÷34= $
$25.6÷4= $
$67.5÷15= $
$21.6÷9= $
2.4
$47.6÷34= $
1.4
$25.6÷4= $
6.4
$67.5÷15= $
4.5
答案:
21.6÷9=2.4 47.6÷34=1.4 25.6÷4=6.4 67.5÷15=4.5



21.6÷9=2.4 47.6÷34=1.4 25.6÷4=6.4 67.5÷15=4.5
3. 你能接着写下去吗?

答案:
1.首先$19÷4 = 4\cdots\cdots3$,已经算出$4×4 = 16$,$19−16 = 3$,接下来在商的位置点上小数点,在余数$3$后面补$0$,变为$30$,$30÷4 = 7$,$4×7 = 28$,$30 - 28=2$,再在余数$2$后面补$0$,变为$20$,$20÷4 = 5$。所以$19÷4 = 4.75$
2. 首先$36÷15 = 2\cdots\cdots6$,已经算出$15×2 = 30$,$36−30 = 6$,接下来在商的位置点上小数点,在余数$6$后面补$0$,变为$60$,$60÷15 = 4$。所以$36÷15 = 2.4$
2. 首先$36÷15 = 2\cdots\cdots6$,已经算出$15×2 = 30$,$36−30 = 6$,接下来在商的位置点上小数点,在余数$6$后面补$0$,变为$60$,$60÷15 = 4$。所以$36÷15 = 2.4$
4. 育才小学 18 名同学在暑假期间收集废旧报纸 68.4 千克。平均每名同学收集废旧报纸多少千克?
答案:
68.4÷18=3.8(千克)
5. 素养题 买 1 块糖果,哪家商店的比较便宜?

答案:
A店:11.5÷5=2.3(元) B店:12.6÷6=2.1(元)
2.3>2.1 B店的比较便宜。
2.3>2.1 B店的比较便宜。
6. 王师傅把一根木料锯成 4 段,需 4.8 分钟,如果把这根木料锯成 10 段,需要多少分钟?
答案:
4-1=3 4.8÷3=1.6(分钟)
10-1=9 1.6×9=14.4(分钟)
10-1=9 1.6×9=14.4(分钟)
7. 李叔叔去湖边钓鱼,已知钓线长 16.8 米。钓钩入水静止后,入水部分的钓线长度是水上部分的 3 倍,你能算出入水部分钓线的长度吗?
答案:
3+1=4 16.8÷4×3=12.6(米)
查看更多完整答案,请扫码查看