1. 不计算,你能将表格填写完整吗?

32200
46
4600
7
7
答案:
32200 46 4600 7 7
2. 在$◯$里填上“$>$”“$<$”或“$=$”。
$6.5÷ 0.63$
$0.42÷ 0.3$
$7.65× 100$
$6.85× 0.9$
$6.5÷ 0.63$
>
$6.5$$0.42÷ 0.3$
>
$0.42× 0.3$$7.65× 100$
=
$7.65÷ 0.01$$6.85× 0.9$
<
$6.85$
答案:
> > = <
3. 用竖式计算。
$91.2÷ 3.8=$
$1.22÷ 0.4=$
$2.94÷ 0.56=$
$91.2÷ 3.8=$
24
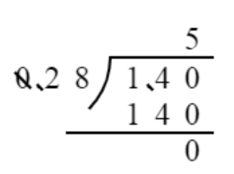
$1.4÷ 0.28=$5
$1.22÷ 0.4=$
3.05
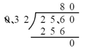
$25.6÷ 0.32=$80
$2.94÷ 0.56=$
5.25
$73.6÷ 6.4=$11.5
答案:
$91.2÷3.8 = 24$。

$1.4÷0.28 = 5$。

$1.22÷0.4 = 3.05$。

$25.6÷0.32 = 80$。

$2.94÷0.56 = 5.25$。

$73.6÷6.4 = 11.5$。

$91.2÷3.8 = 24$。
$1.4÷0.28 = 5$。
$1.22÷0.4 = 3.05$。
$25.6÷0.32 = 80$。
$2.94÷0.56 = 5.25$。
$73.6÷6.4 = 11.5$。
4.

(1)猎豹的身高是猎犬的多少倍?
(2)请你再提出一个数学问题并解答。
(1)猎豹的身高是猎犬的多少倍?
(2)请你再提出一个数学问题并解答。
答案:
(1)0.84÷0.4=2.1
(2)答案不唯一,如:狮子的速度是猎犬的多少倍?
60÷50=1.2
(1)0.84÷0.4=2.1
(2)答案不唯一,如:狮子的速度是猎犬的多少倍?
60÷50=1.2
5. 素养题 一间房子要铺地面,用面积是0.09平方米的方砖需要480块。如果改用边长是0.4米的方砖,那么需要方砖多少块?
答案:
0.09×480÷(0.4×0.4)=270(块)
6. 亮亮在计算3.6除以一个数时,把3.6看成了6.3,结果比正确的商多了1.125。这道题正确的商是多少?
答案:
6.3-3.6=2.7 2.7÷1.125=2.4
3.6÷2.4=1.5
3.6÷2.4=1.5
查看更多完整答案,请扫码查看