1. 计算下面各题。(用竖式计算)
(1)得数保留一位小数。
$2.5÷0.6\approx$
(2)得数保留两位小数。
$43÷13\approx$
(1)得数保留一位小数。
$2.5÷0.6\approx$
4.2
$4.09÷0.9\approx$4.5
(2)得数保留两位小数。
$43÷13\approx$
3.31
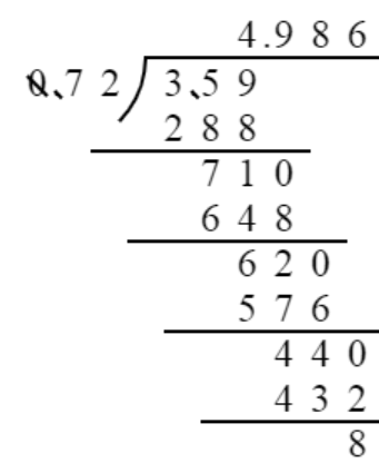
$3.59÷0.72\approx$4.99
答案:
(1)4.2 4.5


(2)3.31 4.99


(1)4.2 4.5
(2)3.31 4.99
2. 用“四舍五入法”求出商的近似值,填入下表。

0.86
0.9
1
1.23
1.2
1
5.51
5.5
6
答案:
0.86 0.9 1 1.23 1.2 1 5.51 5.5 6
3. 根据生活实际想一想,怎样取近似值比较合适?
(1)王奶奶买了1.2千克猪肉,每千克24.58元。买猪肉一共花了多少钱?
(2)李师傅要把3.5千克茶叶装进包装盒。每个包装盒最多装0.15千克茶叶,需要准备几个这样的包装盒?
(1)王奶奶买了1.2千克猪肉,每千克24.58元。买猪肉一共花了多少钱?
(2)李师傅要把3.5千克茶叶装进包装盒。每个包装盒最多装0.15千克茶叶,需要准备几个这样的包装盒?
答案:
(1)24.58×1.2≈29.50(元)
(2)3.5÷0.15≈24(个)
(2)3.5÷0.15≈24(个)
4. 用3、5、8、0和小数点按要求组成三位小数。(每个数字只能用一次)
(1)哪些小数用“四舍五入法”保留整数后的近似值是3?
(2)哪些小数用“四舍五入法”,保留整数后的近似数小于1?
(1)哪些小数用“四舍五入法”保留整数后的近似值是3?
(2)哪些小数用“四舍五入法”,保留整数后的近似数小于1?
答案:
(1)3.058 3.085 (2)0.358 0.385
5. 一桶油连桶共重13.75千克,用去一半后,连桶共重7.5千克。把剩下的油每0.5千克装一小瓶,需要准备多少个这样的小瓶?
答案:
13.75-7.5=6.25(千克) 6.25÷0.5≈13(个)
6. $a÷0.6= b$,$b$是一个两位小数,保留一位小数是1.8。$a$最大是多少?最小是多少?
答案:
a最大:1.84×0.6=1.104
a最小:1.75×0.6=1.05
a最小:1.75×0.6=1.05
查看更多完整答案,请扫码查看