9. (2024浙江名校共同体期中,17,★★☆)蜜蜂的数量与人类的粮食安全和生态稳定息息相关。近年来,世界范围内的蜜蜂数量大幅下降,其原因主要有蜂螨的影响、栖息地的丧失和气候变化等多个方面。
(1)如图为中华蜜蜂的发育过程,其中____(填字母)是其发育的起点。
(2)蜂螨在蜂巢中产卵,寄生于蜜蜂的幼虫、蛹及成蜂体表,并传播病毒。蜂螨的发育过程分为卵、若螨和成螨,与____(填字母)的发育过程类似。
A. 家蚕
B. 蝗虫
C. 菜粉蝶
(1)如图为中华蜜蜂的发育过程,其中____(填字母)是其发育的起点。
(2)蜂螨在蜂巢中产卵,寄生于蜜蜂的幼虫、蛹及成蜂体表,并传播病毒。蜂螨的发育过程分为卵、若螨和成螨,与____(填字母)的发育过程类似。
A. 家蚕
B. 蝗虫
C. 菜粉蝶
答案:
9答案
(1)d
(2)B
解析
(1)由题图可知,中华蜜蜂的发育经过d受精卵、a幼虫、b蛹、c成虫四个时期,d受精卵是其发育的起点。
(2)蜂螨的发育过程分为卵、若螨和成螨三个时期,与蝗虫的发育类似,故选B。
(1)d
(2)B
解析
(1)由题图可知,中华蜜蜂的发育经过d受精卵、a幼虫、b蛹、c成虫四个时期,d受精卵是其发育的起点。
(2)蜂螨的发育过程分为卵、若螨和成螨三个时期,与蝗虫的发育类似,故选B。
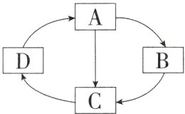
10. (2024杭州拱墅期中改编,22,★★☆)如图是昆虫个体发育过程模式图,其中C表示成虫。
(1)B是____期,D是____期。
(2)下列关于昆虫的发育过程的说法中正确的是____。
A. 蜻蜓的发育过程可以表示为A→C→D
B. 若表示蝗虫的发育过程,则C对农作物的危害最大
C. 若表示家蚕的发育过程,为提高蚕丝产量,应设法延长C时期
D. 经过B期后昆虫的形态发生很大变化,主要是因为细胞核内的遗传物质发生了改变
(1)B是____期,D是____期。
(2)下列关于昆虫的发育过程的说法中正确的是____。
A. 蜻蜓的发育过程可以表示为A→C→D
B. 若表示蝗虫的发育过程,则C对农作物的危害最大
C. 若表示家蚕的发育过程,为提高蚕丝产量,应设法延长C时期
D. 经过B期后昆虫的形态发生很大变化,主要是因为细胞核内的遗传物质发生了改变
答案:
10答案
(1)蛹 受精卵
(2)B
解析
(1)题图中C表示成虫,则D是受精卵,A是幼虫,B是蛹。
(2)蜻蜓的发育经过受精卵、幼虫和成虫三个时期,可以表示为D→A→C,A错误;若表示蝗虫的发育过程,蝗虫的发育经过图中的D受精卵、A幼虫和C成虫三个时期,C成虫对农作物的危害最大,B正确;家蚕的一生经过D受精卵→A幼虫→B蛹→C成虫四个时期,家蚕在幼虫期吐丝,若要提高蚕丝的产量,则应延长A幼虫期,C错误;B是蛹,蛹变为成虫的过程中,细胞核内的遗传物质没有发生改变,D错误。
(1)蛹 受精卵
(2)B
解析
(1)题图中C表示成虫,则D是受精卵,A是幼虫,B是蛹。
(2)蜻蜓的发育经过受精卵、幼虫和成虫三个时期,可以表示为D→A→C,A错误;若表示蝗虫的发育过程,蝗虫的发育经过图中的D受精卵、A幼虫和C成虫三个时期,C成虫对农作物的危害最大,B正确;家蚕的一生经过D受精卵→A幼虫→B蛹→C成虫四个时期,家蚕在幼虫期吐丝,若要提高蚕丝的产量,则应延长A幼虫期,C错误;B是蛹,蛹变为成虫的过程中,细胞核内的遗传物质没有发生改变,D错误。
11. 学科素养·探究实践 (2023金华期末)如图甲为常见的农业害虫卷叶象甲。雌性成虫在植物叶片上产卵后,将整个叶片加工成卷筒状(如图乙),幼虫期及蛹期都在叶筒内生活。观察发现,同类植物的叶片有全缘和深裂两种形状(如图丙),具有深裂的叶片更能抵抗卷叶象甲的破坏。(S7201003)
针对观察到的现象,兴趣小组的同学进行以下探究:
【实验方案】
Ⅰ. 选取同类植物中相同数量且大小相同的全缘叶片和深裂叶片;
Ⅱ. 将等量待产卵的雌性成虫,分别放到两种叶片上;
Ⅲ. 一段时间后,观察统计能折叠成卷筒的叶片数量。
【实验分析】
制订上述实验方案基于的假设是____。
【拓展应用】
从环保角度考虑,以下可以减少卷叶象甲危害的措施是____。
A. 喷洒农药
B. 诱捕雌虫
C. 收集卷叶,并集中处理
针对观察到的现象,兴趣小组的同学进行以下探究:
【实验方案】
Ⅰ. 选取同类植物中相同数量且大小相同的全缘叶片和深裂叶片;
Ⅱ. 将等量待产卵的雌性成虫,分别放到两种叶片上;
Ⅲ. 一段时间后,观察统计能折叠成卷筒的叶片数量。
【实验分析】
制订上述实验方案基于的假设是____。
【拓展应用】
从环保角度考虑,以下可以减少卷叶象甲危害的措施是____。
A. 喷洒农药
B. 诱捕雌虫
C. 收集卷叶,并集中处理
答案:
11答案
(1)具有深裂的叶片更能抵抗卷叶象甲的破坏
(2)B、C
解析
(1)根据题干中的信息“观察发现,同类植物的叶片有全缘和深裂两种形状,具有深裂的叶片更能抵抗卷叶象甲的破坏”,可以得出该实验方案基于的假设是:具有深裂的叶片更能抵抗卷叶象甲的破坏。
(2)喷洒农药这种方法虽然可以杀死卷叶象甲,但会对环境造成污染,同时还会对其他生物产生影响,A不符合题意。
(1)具有深裂的叶片更能抵抗卷叶象甲的破坏
(2)B、C
解析
(1)根据题干中的信息“观察发现,同类植物的叶片有全缘和深裂两种形状,具有深裂的叶片更能抵抗卷叶象甲的破坏”,可以得出该实验方案基于的假设是:具有深裂的叶片更能抵抗卷叶象甲的破坏。
(2)喷洒农药这种方法虽然可以杀死卷叶象甲,但会对环境造成污染,同时还会对其他生物产生影响,A不符合题意。
查看更多完整答案,请扫码查看