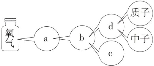
7. (2023杭州富阳期末,3,★☆☆)如图是某同学学习物质结构层次后,以氧气为例梳理的物质结构层次图,其中与层次d相对应的是 ( )

A.原子核
B.质子
C.电子
D.夸克
A.原子核
B.质子
C.电子
D.夸克
答案:
7A氧气是一种气态非金属单质,是由氧气分子构成的,因此a表示氧分子;分子是由原子构成的,因此b表示氧原子;原子是由原子核和核外电子构成的,原子核一般是由质子和中子构成的,因此d表示原子核,c表示电子,故选A。
8. (2023杭州拱墅期末,19,★☆☆)2022年,德国和日本的研究者观察到了“四中子”,“四中子”是由四个中子组成的一种极不稳定的微粒。研究者通过在液态氢靶上发射某一原子的原子核,碰撞可将一个该原子的原子核分裂成一个α粒子(两个质子和两个中子)和一个“四中子”。关于此项研究中的微粒,说法错误的是 ( )
A.该原子的核外电子数是2
B.“四中子”是一种不带电的微粒
C.一个α粒子带两个单位的正电荷
D.向氢靶上发射的是含两个质子和四个中子的原子核
A.该原子的核外电子数是2
B.“四中子”是一种不带电的微粒
C.一个α粒子带两个单位的正电荷
D.向氢靶上发射的是含两个质子和四个中子的原子核
答案:
8D该原子的原子核中有两个质子,而在原子中,质子数=核外电子数,所以该原子的核外电子数为2,A正确;中子不带电,则“四中子”是不带电的,B正确;一个α粒子是由两个质子和两个中子构成的,一个质子带一个单位的正电荷,中子不带电,所以一个α粒子带两个单位的正电荷,C正确;由题意知,碰撞后,该原子的原子核分裂成一个α粒子(两个质子和两个中子)和一个“四中子”,所以向氢靶上发射的是含两个质子和六个中子的原子核,D错误。
9. (2024杭州萧山期末,19,★☆☆)如图是锂原子的构成示意图,根据图示信息回答下列问题:
(1)锂原子的核电荷数为______。
(2)锂原子核外有____个电子。
(3)下列对原子构成的理解错误的是____(填字母)。
A.原子整体不显电性
B.原子核是不可分割的实心球体
C.原子核比原子小得多
D.原子质量主要集中在原子核上
(1)锂原子的核电荷数为______。
(2)锂原子核外有____个电子。
(3)下列对原子构成的理解错误的是____(填字母)。
A.原子整体不显电性
B.原子核是不可分割的实心球体
C.原子核比原子小得多
D.原子质量主要集中在原子核上
答案:
9答案
(1)3
(2)3
(3)B
解析
(1)由图示信息可知,锂原子的电子数为3,因为原子中,质子数=核电荷数=核外电子数,故锂原子的核电荷数为3。
(3)原子中,质子数=核外电子数,所带电量相等,但电性相反,因此原子整体不显电性,A正确;由图示可知,原子核并不是不可分割的实心球体,原子核可以分为质子和中子,B错误;由图示可知,原子核比原子小得多,C正确;原子质量主要集中在原子核上,D正确。
(1)3
(2)3
(3)B
解析
(1)由图示信息可知,锂原子的电子数为3,因为原子中,质子数=核电荷数=核外电子数,故锂原子的核电荷数为3。
(3)原子中,质子数=核外电子数,所带电量相等,但电性相反,因此原子整体不显电性,A正确;由图示可知,原子核并不是不可分割的实心球体,原子核可以分为质子和中子,B错误;由图示可知,原子核比原子小得多,C正确;原子质量主要集中在原子核上,D正确。
10. 学科素养·探究实践 (2024杭州萧山期末)人类对原子结构的认识永无止境。请根据所学知识回答:(S7202002)
(1)道尔顿认为原子是“不可再分的实心球体”,汤姆生认为原子是“嵌着葡萄干的面包”,如今这些观点均被证实是________(填“正确”或“错误”)的。
(2)卢瑟福进行α粒子散射实验后,认为原子是“行星模型”,即原子由原子核和核外电子构成。如图甲是卢瑟福用α粒子轰击金箔而产生α粒子散射的实验,在分析实验结果的基础上,他提出了图乙所示的原子核式结构,卢瑟福的这一研究过程是一个______。
A.建立模型的过程
B.得出科学事实的过程
C.提出问题的过程
D.获取证据的过程
(3)卢瑟福在α粒子散射实验中(α粒子带正电荷),断定原子中的绝大部分空间是空的,他的依据是________________________;同时也断定原子核呈______电性。
(1)道尔顿认为原子是“不可再分的实心球体”,汤姆生认为原子是“嵌着葡萄干的面包”,如今这些观点均被证实是________(填“正确”或“错误”)的。
(2)卢瑟福进行α粒子散射实验后,认为原子是“行星模型”,即原子由原子核和核外电子构成。如图甲是卢瑟福用α粒子轰击金箔而产生α粒子散射的实验,在分析实验结果的基础上,他提出了图乙所示的原子核式结构,卢瑟福的这一研究过程是一个______。
A.建立模型的过程
B.得出科学事实的过程
C.提出问题的过程
D.获取证据的过程
(3)卢瑟福在α粒子散射实验中(α粒子带正电荷),断定原子中的绝大部分空间是空的,他的依据是________________________;同时也断定原子核呈______电性。
答案:
10答案
(1)错误
(2)A
(3)绝大多数α粒子能通过金箔并按原来方向运动,说明绝大多数α粒子未受到影响 正
解析
(1)原子由居于原子中心的原子核及核外电子构成,原子核在原子中所占的体积极小,核外电子在核外空间做高速运动,因此道尔顿及汤姆生的原子模型均是错误的。
(2)卢瑟福用α粒子轰击金箔后产生散射现象(如图甲),在分析实验结果的基础上,他提出了原子核式结构模型(如图乙),卢瑟福这一研究是建立模型的过程。
(3)卢瑟福推断原子中绝大部分空间是空的,是因为绝大多数α粒子通过金箔并能按原来方向运动;由极少数α粒子运动方向发生大的偏转可知,原子核带正电荷。
(1)错误
(2)A
(3)绝大多数α粒子能通过金箔并按原来方向运动,说明绝大多数α粒子未受到影响 正
解析
(1)原子由居于原子中心的原子核及核外电子构成,原子核在原子中所占的体积极小,核外电子在核外空间做高速运动,因此道尔顿及汤姆生的原子模型均是错误的。
(2)卢瑟福用α粒子轰击金箔后产生散射现象(如图甲),在分析实验结果的基础上,他提出了原子核式结构模型(如图乙),卢瑟福这一研究是建立模型的过程。
(3)卢瑟福推断原子中绝大部分空间是空的,是因为绝大多数α粒子通过金箔并能按原来方向运动;由极少数α粒子运动方向发生大的偏转可知,原子核带正电荷。
查看更多完整答案,请扫码查看