第25页
- 第1页
- 第2页
- 第3页
- 第4页
- 第5页
- 第6页
- 第7页
- 第8页
- 第9页
- 第10页
- 第11页
- 第12页
- 第13页
- 第14页
- 第15页
- 第16页
- 第17页
- 第18页
- 第19页
- 第20页
- 第21页
- 第22页
- 第23页
- 第24页
- 第25页
- 第26页
- 第27页
- 第28页
- 第29页
- 第30页
- 第31页
- 第32页
- 第33页
- 第34页
- 第35页
- 第36页
- 第37页
- 第38页
- 第39页
- 第40页
- 第41页
- 第42页
- 第43页
- 第44页
- 第45页
- 第46页
- 第47页
- 第48页
- 第49页
- 第50页
- 第51页
- 第52页
- 第53页
- 第54页
- 第55页
- 第56页
- 第57页
- 第58页
- 第59页
- 第60页
- 第61页
- 第62页
- 第63页
- 第64页
- 第65页
- 第66页
- 第67页
- 第68页
- 第69页
- 第70页
- 第71页
- 第72页
- 第73页
- 第74页
- 第75页
- 第76页
- 第77页
- 第78页
- 第79页
7. 从亲代的体细胞到生殖细胞再到发育成子代的受精卵细胞,细胞中染色体的数量变化规律是(2n表示体细胞中的染色体数目)( )
A. 2n→2n→2n
B. n→n→n
C. n→2n→n
D. 2n→n→2n
A. 2n→2n→2n
B. n→n→n
C. n→2n→n
D. 2n→n→2n
答案:
D
8. 正常情况下,下列人体的细胞中可能不含X染色体的是( )
A. 男性的体细胞
B. 卵细胞
C. 女性的体细胞
D. 精子
A. 男性的体细胞
B. 卵细胞
C. 女性的体细胞
D. 精子
答案:
D
9. (2022·福建中考)小鼠的卵细胞含有20条染色体,其体细胞染色体数目是( )
A. 80条
B. 40条
C. 20条
D. 10条
A. 80条
B. 40条
C. 20条
D. 10条
答案:
B
10. 人类亲代把遗传物质传给下一代是通过( )
A. 性状
B. 受精卵
C. 精子或卵细胞
D. 胚胎
A. 性状
B. 受精卵
C. 精子或卵细胞
D. 胚胎
答案:
C
11. 亲代的许多性状能在子代身上体现,主要原因是( )
A. 亲代把性状传递给子代
B. 亲代把控制性状的基因传递给子代
C. 子代与亲代生活在一起,长相就会相像
D. 亲代把细胞核中所有的基因传递给子代
A. 亲代把性状传递给子代
B. 亲代把控制性状的基因传递给子代
C. 子代与亲代生活在一起,长相就会相像
D. 亲代把细胞核中所有的基因传递给子代
答案:
B
12. 下图表示不同细胞中染色体的组成,能正确表示生殖细胞的是( )
答案:
B
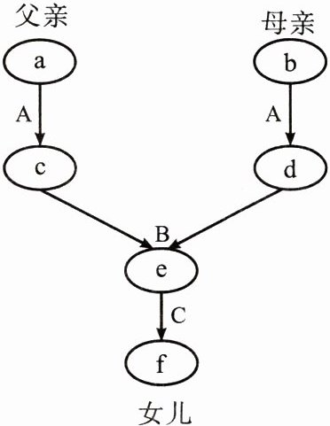
13. 右上图表示人的生殖发育过程中染色体数目的变化。请据图回答下列问题。

(1)a、b分别表示父母的体细胞,它们的染色体数为______条。
(2)A表示父母分别产生生殖细胞的过程,生殖细胞c、d分别叫______和______。它们的染色体数为______条,比a、b减少______。
(3)B过程为______,形成的e细胞叫______,它的染色体数为______对,又恢复到与______体细胞一样的数目。
(4)f细胞是女孩的______细胞,其染色体数为______条。
(5)由上述内容可以看出,人类亲代与子代的体细胞中染色体数目是______的。生物体细胞中的每一对染色体都是一条来自______,一条来自______。因此,后代个体具有______的遗传物质。
(1)a、b分别表示父母的体细胞,它们的染色体数为______条。
(2)A表示父母分别产生生殖细胞的过程,生殖细胞c、d分别叫______和______。它们的染色体数为______条,比a、b减少______。
(3)B过程为______,形成的e细胞叫______,它的染色体数为______对,又恢复到与______体细胞一样的数目。
(4)f细胞是女孩的______细胞,其染色体数为______条。
(5)由上述内容可以看出,人类亲代与子代的体细胞中染色体数目是______的。生物体细胞中的每一对染色体都是一条来自______,一条来自______。因此,后代个体具有______的遗传物质。
答案:
(1)46
(2)精子 卵细胞 23 一半
(3)受精 受精卵 23 亲代
(4)体 46
(5)一定 父方 母方 双亲
(2)精子 卵细胞 23 一半
(3)受精 受精卵 23 亲代
(4)体 46
(5)一定 父方 母方 双亲
1. 下列人体的细胞中含染色体数目最多的是( )
A. 卵细胞
B. 精子
C. 白细胞
D. 成熟的红细胞
A. 卵细胞
B. 精子
C. 白细胞
D. 成熟的红细胞
答案:
C
2. 下列有关染色体的叙述,正确的是( )
A. 同种生物的不同个体,体细胞中的染色体数目不同
B. 每种生物体细胞中染色体的数目是一定的
C. 细胞中染色体的形态和大小都是一样的
D. 人体细胞中多一条或少一条染色体不会影响健康
A. 同种生物的不同个体,体细胞中的染色体数目不同
B. 每种生物体细胞中染色体的数目是一定的
C. 细胞中染色体的形态和大小都是一样的
D. 人体细胞中多一条或少一条染色体不会影响健康
答案:
B
查看更多完整答案,请扫码查看