2025年资源与评价黑龙江教育出版社七年级生物上册人教版H版
注:目前有些书本章节名称可能整理的还不是很完善,但都是按照顺序排列的,请同学们按照顺序仔细查找。练习册 2025年资源与评价黑龙江教育出版社七年级生物上册人教版H版 答案主要是用来给同学们做完题方便对答案用的,请勿直接抄袭。
第41页
- 第1页
- 第2页
- 第3页
- 第4页
- 第5页
- 第6页
- 第7页
- 第8页
- 第9页
- 第10页
- 第11页
- 第12页
- 第13页
- 第14页
- 第15页
- 第16页
- 第17页
- 第18页
- 第19页
- 第20页
- 第21页
- 第22页
- 第23页
- 第24页
- 第25页
- 第26页
- 第27页
- 第28页
- 第29页
- 第30页
- 第31页
- 第32页
- 第33页
- 第34页
- 第35页
- 第36页
- 第37页
- 第38页
- 第39页
- 第40页
- 第41页
- 第42页
- 第43页
- 第44页
- 第45页
- 第46页
- 第47页
- 第48页
- 第49页
- 第50页
- 第51页
- 第52页
- 第53页
- 第54页
- 第55页
- 第56页
- 第57页
- 第58页
- 第59页
- 第60页
- 第61页
- 第62页
- 第63页
- 第64页
- 第65页
- 第66页
- 第67页
- 第68页
- 第69页
- 第70页
- 第71页
- 第72页
- 第73页
- 第74页
- 第75页
- 第76页
- 第77页
- 第78页
- 第79页
23. 苹果在采摘和搬运过程中若表皮受到挤压破损,会更容易腐烂变质,其主要原因是(
A.分生组织受损,无法分裂产生新细胞
B.输导组织受损,水和营养运输受阻
C.保护组织受损,保护作用减弱
D.薄壁组织受损,储存的营养物质流失
C
)A.分生组织受损,无法分裂产生新细胞
B.输导组织受损,水和营养运输受阻
C.保护组织受损,保护作用减弱
D.薄壁组织受损,储存的营养物质流失
答案:
23.C
24. 棉花在生长过程中,农民会定期摘除顶芽以促进侧枝生长,从而提高产量,这是因为破坏了棉花的(
A.保护组织
B.分生组织
C.机械组织
D.薄壁组织
B
)A.保护组织
B.分生组织
C.机械组织
D.薄壁组织
答案:
24.B
25. 成熟的番茄用开水烫后,观察发现:最外面的一层表皮容易撕下,表皮下是肥厚多汁的果肉,若仔细观察会发现里面还有一丝丝白色的“筋络”。下列相关描述错误的是(
A.撕下的表皮属于上皮组织
B.肥厚多汁的果肉属于薄壁组织
C.白色的“筋络”属于输导组织
D.番茄食用部分属于果实
A
)A.撕下的表皮属于上皮组织
B.肥厚多汁的果肉属于薄壁组织
C.白色的“筋络”属于输导组织
D.番茄食用部分属于果实
答案:
25.A
26. 多细胞生物体具有一定的结构层次。下列相关叙述正确的是(
A.人的消化道上皮属于保护组织
B.杜鹃花比杜鹃多了系统这个结构层次
C.桃的果肉属于器官
D.一株水稻在结构层次上属于植物体
D
)A.人的消化道上皮属于保护组织
B.杜鹃花比杜鹃多了系统这个结构层次
C.桃的果肉属于器官
D.一株水稻在结构层次上属于植物体
答案:
26.D
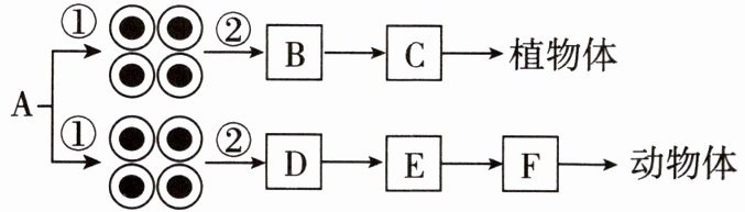
27. 如图为动植物体的结构层次图,下列描述正确的是(

A.过程①②均表示细胞分裂
B.B 和 D 是组织,细胞结构相同
C.根和血液分别属于 C 和 E 结构层次
D.F 属于系统这一结构层次
D
)A.过程①②均表示细胞分裂
B.B 和 D 是组织,细胞结构相同
C.根和血液分别属于 C 和 E 结构层次
D.F 属于系统这一结构层次
答案:
27.D
28. 下列有关植物组织的说法,错误的是(
A.机械组织对植物体主要起支撑和保护作用
B.薄壁组织的细胞壁薄,液泡较大,有储存营养物质的功能
C.导管属于输导组织,有运输水和无机盐的作用
D.分生组织细胞的结构特点是细胞壁厚、细胞质浓、细胞核大
D
)A.机械组织对植物体主要起支撑和保护作用
B.薄壁组织的细胞壁薄,液泡较大,有储存营养物质的功能
C.导管属于输导组织,有运输水和无机盐的作用
D.分生组织细胞的结构特点是细胞壁厚、细胞质浓、细胞核大
答案:
28.D
29. 细胞构成了生物体结构和功能的基础单元。众多活细胞有序地组织起来,形成生物体的各个结构,构建出充满生命力的生物体系。如图所示,多细胞生物体的结构层次,下列描述错误的是(

A.b 表示的结构层次是器官
B.细胞分裂过程中,染色体先复制再均分
C.叶表皮属于 a 层次,与皮肤一样属于保护组织
D.c 代表的是植物体,d 代表的是动物体
C
)A.b 表示的结构层次是器官
B.细胞分裂过程中,染色体先复制再均分
C.叶表皮属于 a 层次,与皮肤一样属于保护组织
D.c 代表的是植物体,d 代表的是动物体
答案:
29.C
30. 春天来了,万物复苏,树上抽出了许多新的枝条,鸟儿在枝头歌唱。下列有关叙述不正确的是(
A.叶片之所以呈绿色,主要是因为叶片的保护组织中含有大量的叶绿体
B.枝条是由芽发育而来的,芽尖的分生区属于分生组织
C.枝条上的茎、叶片以及叶柄等处都有机械组织,对枝条主要起支撑和保护作用
D.鸟的皮肤是由上皮组织、神经组织、结缔组织等多种组织构成的器官
A
)A.叶片之所以呈绿色,主要是因为叶片的保护组织中含有大量的叶绿体
B.枝条是由芽发育而来的,芽尖的分生区属于分生组织
C.枝条上的茎、叶片以及叶柄等处都有机械组织,对枝条主要起支撑和保护作用
D.鸟的皮肤是由上皮组织、神经组织、结缔组织等多种组织构成的器官
答案:
30.A
查看更多完整答案,请扫码查看