第22页
- 第1页
- 第2页
- 第3页
- 第4页
- 第5页
- 第6页
- 第7页
- 第8页
- 第9页
- 第10页
- 第11页
- 第12页
- 第13页
- 第14页
- 第15页
- 第16页
- 第17页
- 第18页
- 第19页
- 第20页
- 第21页
- 第22页
- 第23页
- 第24页
- 第25页
- 第26页
- 第27页
- 第28页
- 第29页
- 第30页
- 第31页
- 第32页
- 第33页
- 第34页
- 第35页
- 第36页
- 第37页
- 第38页
- 第39页
- 第40页
- 第41页
- 第42页
- 第43页
- 第44页
- 第45页
- 第46页
- 第47页
- 第48页
- 第49页
- 第50页
- 第51页
- 第52页
- 第53页
- 第54页
- 第55页
- 第56页
- 第57页
- 第58页
- 第59页
- 第60页
- 第61页
- 第62页
- 第63页
- 第64页
- 第65页
- 第66页
- 第67页
- 第68页
- 第69页
- 第70页
- 第71页
- 第72页
- 第73页
- 第74页
- 第75页
- 第76页
- 第77页
- 第78页
- 第79页
- 第80页
- 第81页
- 第82页
- 第83页
- 第84页
- 第85页
- 第86页
- 第87页
- 第88页
- 第89页
- 第90页
- 第91页
- 第92页
- 第93页
- 第94页
- 第95页
- 第96页
- 第97页
- 第98页
- 第99页
- 第100页
(1)$165 ÷ 39可以把39$看作(
40
)来试商。
答案:
40
(2)要使$□47 ÷ 61$的商是一位数,方框里最大可以填(
5
),要使$□47 ÷ 61$的商是两位数,方框里最小可以填(6
)。
答案:
5,6
(3)三位数除以两位数的商可能是(
一
)位数或者(两
)位数。
答案:
一,两
(4)括号里最大能填几?
$34 × (
$29 × (
$80 × (
$62 × (
$34 × (
7
) < 270$$29 × (
4
) < 126$$80 × (
3
) < 312$$62 × (
8
) < 530$
答案:
7,4,3,8
(5)小明1分钟跳绳188下,小红30秒跳绳96下,(
小红
)跳得快一些。
答案:
小红
2. 口算。
$320 ÷ 40 = $
$130 + 80 = $
$720 ÷ 36 ÷ 4 = $
$240 - 90 = $
$14 × 60 = $
$960 ÷ 30 = $
$25 × 4 = $
$125 × 8 = $
$630 ÷ 70 = $
$360 ÷ 40 = $
$15 × 6 = $
$320 - 60 = $
$320 ÷ 40 = $
8
$130 + 80 = $
210
$720 ÷ 36 ÷ 4 = $
5
$240 - 90 = $
150
$14 × 60 = $
840
$960 ÷ 30 = $
32
$25 × 4 = $
100
$125 × 8 = $
1000
$630 ÷ 70 = $
9
$360 ÷ 40 = $
9
$15 × 6 = $
90
$320 - 60 = $
260
答案:
8 210 5 150 840 32 100 1000 9 9 90 260
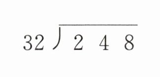
3. 先用竖式计算,再用乘法验算。



答案:
1. $248÷32 = 7\cdots\cdots24$
竖式计算:
```
7
32)248
224
---
24
```
乘法验算:$32×7 + 24=224 + 24 = 248$
2. $358÷74 = 4\cdots\cdots62$
竖式计算:
```
4
74)358
296
---
62
```
乘法验算:$74×4+62 = 296+62 = 358$
3. $309÷66 = 4\cdots\cdots45$
竖式计算:
```
4
66)309
264
---
45
```
乘法验算:$66×4 + 45=264+45 = 309$
竖式计算:
```
7
32)248
224
---
24
```
乘法验算:$32×7 + 24=224 + 24 = 248$
2. $358÷74 = 4\cdots\cdots62$
竖式计算:
```
4
74)358
296
---
62
```
乘法验算:$74×4+62 = 296+62 = 358$
3. $309÷66 = 4\cdots\cdots45$
竖式计算:
```
4
66)309
264
---
45
```
乘法验算:$66×4 + 45=264+45 = 309$
查看更多完整答案,请扫码查看