第77页
- 第1页
- 第2页
- 第3页
- 第4页
- 第5页
- 第6页
- 第7页
- 第8页
- 第9页
- 第10页
- 第11页
- 第12页
- 第13页
- 第14页
- 第15页
- 第16页
- 第17页
- 第18页
- 第19页
- 第20页
- 第21页
- 第22页
- 第23页
- 第24页
- 第25页
- 第26页
- 第27页
- 第28页
- 第29页
- 第30页
- 第31页
- 第32页
- 第33页
- 第34页
- 第35页
- 第36页
- 第37页
- 第38页
- 第39页
- 第40页
- 第41页
- 第42页
- 第43页
- 第44页
- 第45页
- 第46页
- 第47页
- 第48页
- 第49页
- 第50页
- 第51页
- 第52页
- 第53页
- 第54页
- 第55页
- 第56页
- 第57页
- 第58页
- 第59页
- 第60页
- 第61页
- 第62页
- 第63页
- 第64页
- 第65页
- 第66页
- 第67页
- 第68页
- 第69页
- 第70页
- 第71页
- 第72页
- 第73页
- 第74页
- 第75页
- 第76页
- 第77页
- 第78页
- 第79页
- 第80页
- 第81页
- 第82页
- 第83页
- 第84页
- 第85页
探究:煤炭运输。

这些煤可以运几次?还剩多少吨?
$180÷34= $

1. 议一议。


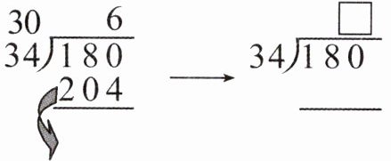
204 比 180 大,说明商 6
答:这些煤可以运


2. 比一比:上面三种试商方法有什么不同?哪种更简便?
这些煤可以运几次?还剩多少吨?
$180÷34= $
5
(次)……10
(吨)1. 议一议。
204 比 180 大,说明商 6
大了
,改商5
。答:这些煤可以运
5
次,还剩10
吨。2. 比一比:上面三种试商方法有什么不同?哪种更简便?
答案:
大了 5 5 10
1. 算一算。(带★的要验算。)

答案:
1. 计算$236÷34$:
$236÷34 = 6\cdots\cdots32$。
验算:根据$被除数 = 商×除数 + 余数$,$34×6 + 32=204 + 32 = 236$,计算正确。
2. 计算$326÷46$:
$326÷46 = 7\cdots\cdots4$。
3. 计算$185÷25$:
$185÷25 = 7\cdots\cdots10$。
验算:根据$被除数 = 商×除数+余数$,$25×7 + 10=175 + 10 = 185$,计算正确。
4. 计算$435÷46$:
$435÷46 = 9\cdots\cdots21$。
综上,答案依次为$6\cdots\cdots32$;$7\cdots\cdots4$;$7\cdots\cdots10$;$9\cdots\cdots21$。
$236÷34 = 6\cdots\cdots32$。
验算:根据$被除数 = 商×除数 + 余数$,$34×6 + 32=204 + 32 = 236$,计算正确。
2. 计算$326÷46$:
$326÷46 = 7\cdots\cdots4$。
3. 计算$185÷25$:
$185÷25 = 7\cdots\cdots10$。
验算:根据$被除数 = 商×除数+余数$,$25×7 + 10=175 + 10 = 185$,计算正确。
4. 计算$435÷46$:
$435÷46 = 9\cdots\cdots21$。
综上,答案依次为$6\cdots\cdots32$;$7\cdots\cdots4$;$7\cdots\cdots10$;$9\cdots\cdots21$。
2. 用竖式计算。
$174÷26$ $266÷34$
$174÷26$ $266÷34$
答案:
```
174÷26=6……18
6
26)174
156
---
18
266÷34=7……28
7
34)266
238
---
28
```
174÷26=6……18
6
26)174
156
---
18
266÷34=7……28
7
34)266
238
---
28
```
查看更多完整答案,请扫码查看