第35页
- 第1页
- 第2页
- 第3页
- 第4页
- 第5页
- 第6页
- 第7页
- 第8页
- 第9页
- 第10页
- 第11页
- 第12页
- 第13页
- 第14页
- 第15页
- 第16页
- 第17页
- 第18页
- 第19页
- 第20页
- 第21页
- 第22页
- 第23页
- 第24页
- 第25页
- 第26页
- 第27页
- 第28页
- 第29页
- 第30页
- 第31页
- 第32页
- 第33页
- 第34页
- 第35页
- 第36页
- 第37页
- 第38页
- 第39页
- 第40页
- 第41页
- 第42页
- 第43页
- 第44页
- 第45页
- 第46页
- 第47页
- 第48页
- 第49页
- 第50页
- 第51页
- 第52页
- 第53页
- 第54页
- 第55页
- 第56页
- 第57页
- 第58页
- 第59页
- 第60页
- 第61页
- 第62页
- 第63页
- 第64页
- 第65页
- 第66页
- 第67页
- 第68页
- 第69页
一、读拼音,写词语。
xiōng yǒng(
zāo gāo(
xiōng yǒng(
汹涌
)péng pài(澎湃
)xī miè(熄灭
)chén sī(沉思
)zāo gāo(
糟糕
)xiān qǐ(掀起
)yōu lǜ(忧虑
)sháo zi(勺子
)
答案:
汹涌 澎湃 熄灭 沉思 糟糕 掀起 忧虑 勺子
二、下列加点字读音全部正确的是(
A.
B.
A
)A.
汹
•涌(xiōng) 搁
•板(gē) 寡
•妇(guǎ)B.
蜷
•缩(juǎn) 黧
•黑(lí) 魁
•梧(huái)
答案:
A
三、比一比,再组词。
$\begin{cases} 揍(
$\begin{cases} 揍(
挨揍
) \\ 凑(紧凑
) \end{cases} $ $\begin{cases} 帐(帐篷
) \\ 账(账单
) \end{cases} $ $\begin{cases} 均(均匀
) \\ 钧(千钧一发
) \end{cases} $ $\begin{cases} 糕(糟糕
) \\ 羔(羊羔
) \end{cases} $
答案:
挨揍 帐篷 均匀 糟糕 紧凑 账单 千钧一发 羊羔
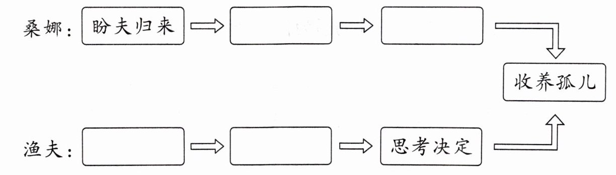
四、根据课文内容,完成下图并填空。
桑娜:$\boxed{盼夫归来}$ $\Rightarrow$ $\boxed{
渔夫:$\boxed{

课文讲了这样一个故事:在一个
桑娜:$\boxed{盼夫归来}$ $\Rightarrow$ $\boxed{
探望邻居
}$ $\Rightarrow$ $\boxed{抱回孩子
}$ $\Rightarrow$ $\boxed{收养孤儿}$渔夫:$\boxed{
打鱼归来
}$ $\Rightarrow$ $\boxed{了解经过
}$ $\Rightarrow$ $\boxed{思考决定}$ $\Rightarrow$ $\boxed{收养孤儿}$课文讲了这样一个故事:在一个
寒风呼啸
的夜晚,桑娜与渔夫主动收养已故邻居西蒙的两个孤儿。
答案:
桑娜:探望邻居 抱回孩子 渔夫:打鱼归来 了解经过 寒风呼啸 主动收养已故邻居西蒙的两个 孤儿。
查看更多完整答案,请扫码查看