1. 计算 $45÷(7 + 2)$ 时,要先算(
加
)法,再算(除
)法。
答案:
加 除
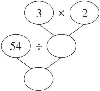
2. 根据下图,先填空,再列出综合算式。

综合算式:(
综合算式:(
54÷(3×2)=9
)
答案:
6 9 54÷(3×2)=9
3. 把“$28 + 12 = 40$,$40÷8 = 5$”合并成一道综合算式是(
(28+12)÷8=5
)。
答案:
(28+12)÷8=5
4. 爸爸锯一根木条,要锯成 $5$ 段,每锯一段需要 $3$ 分钟,爸爸锯完这根木条要(
12
)分钟。
答案:
12
5. 要使算式 $14 + 21÷7$ 的运算顺序变为先算加法,再算除法,可以把算式改写成(
(14+21)÷7
)。
答案:
(14+21)÷7
1. 下面算式中,与“$12÷2÷3$”的计算结果相等的是(
A.$12÷(2×3)$
B.$12×(2×3)$
C.$12×3÷4$
D.$12÷4×3$
A
)。A.$12÷(2×3)$
B.$12×(2×3)$
C.$12×3÷4$
D.$12÷4×3$
答案:
A
2. 将“$8 + 4 = 12$”和“$12÷2 = 6$”合并成一道综合算式是(
A.$8 + 4÷2 - 6$
B.$12÷(8 + 4) = 1$
C.$12÷(8÷4) = 6$
D.$(8 + 4)÷2 = 6$
D
)。A.$8 + 4÷2 - 6$
B.$12÷(8 + 4) = 1$
C.$12÷(8÷4) = 6$
D.$(8 + 4)÷2 = 6$
答案:
D
3. $2×8-(2◯8)= 6$,在 $◯$ 里填上“$+$、$-$、$×$、$÷$”,使等式成立。正确的是(
A.$+$
B.$-$
C.$×$
D.$÷$
A
)。A.$+$
B.$-$
C.$×$
D.$÷$
答案:
A
4. 在计算 $(12 + 23)-12÷4$ 时,最后一步求得的是(
A.和
B.差
C.积
D.商
B
)。A.和
B.差
C.积
D.商
答案:
B
5. 明明在计算一道综合算式时,先算 $20 - 15 = 5$,再算 $6×5 = 30$,这道综合算式是(
A.$20 - 15×6$
B.$6×5 - 20$
C.$(20 - 15)×5$
D.$6×(20 - 15)$
D
)。A.$20 - 15×6$
B.$6×5 - 20$
C.$(20 - 15)×5$
D.$6×(20 - 15)$
答案:
D
三、脱式计算。
$88-(46 - 18)$ $63÷(44 - 37)$
$(30 + 18)÷6$ $7×(45 - 38)$
$45÷(21 - 12)$ $81-(18 + 37)$
$6×(12÷3)$ $6×(24 - 18)$
$88-(46 - 18)$ $63÷(44 - 37)$
$(30 + 18)÷6$ $7×(45 - 38)$
$45÷(21 - 12)$ $81-(18 + 37)$
$6×(12÷3)$ $6×(24 - 18)$
答案:
60 9 8 49 5 26 24 36
查看更多完整答案,请扫码查看