2025年新活力总动员暑假八年级物理人教版
注:目前有些书本章节名称可能整理的还不是很完善,但都是按照顺序排列的,请同学们按照顺序仔细查找。练习册 2025年新活力总动员暑假八年级物理人教版 答案主要是用来给同学们做完题方便对答案用的,请勿直接抄袭。
9.(4分)(凉山州中考)如图所示,某人站立在地面上用滑轮组将物体A匀速向上拉起,请在图中用笔画线代替绳子画出所用滑轮组的绳子绕法。

答案:
【解析】:
本题考查滑轮组的绳子绕法设计,关键在于根据人的站立位置和物体的位置,合理确定绳子的起始端和绕法,使滑轮组能够省力且符合实际情况,对于滑轮组绕法,一般从定滑轮或动滑轮的挂钩开始绕,本题中因为人站在地面上,所以绳子应从动滑轮的挂钩开始绕,这样可以通过拉绳子将物体向上提起,同时根据滑轮组的特点,要达到省力的目的,绳子的段数$n$应满足一定条件,通常$n$为奇数时,绳子从动滑轮开始绕,这里$n = 3$较为合适,依次绕过各个滑轮即可。
【答案】:
图略(绳子从动滑轮的挂钩开始绕,依次绕过定滑轮、动滑轮,最后绳子的自由端在人手中,滑轮组绳子的绕法为$n = 3$的情况)。
本题考查滑轮组的绳子绕法设计,关键在于根据人的站立位置和物体的位置,合理确定绳子的起始端和绕法,使滑轮组能够省力且符合实际情况,对于滑轮组绕法,一般从定滑轮或动滑轮的挂钩开始绕,本题中因为人站在地面上,所以绳子应从动滑轮的挂钩开始绕,这样可以通过拉绳子将物体向上提起,同时根据滑轮组的特点,要达到省力的目的,绳子的段数$n$应满足一定条件,通常$n$为奇数时,绳子从动滑轮开始绕,这里$n = 3$较为合适,依次绕过各个滑轮即可。
【答案】:
图略(绳子从动滑轮的挂钩开始绕,依次绕过定滑轮、动滑轮,最后绳子的自由端在人手中,滑轮组绳子的绕法为$n = 3$的情况)。
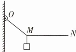
10.(4分)(巴中中考)如图所示,轻质杠杆OMN上挂一重物,为使杠杆在图中位置平衡。请在N端画出最小力的示意图。

答案:
【解析】:
本题考查杠杆平衡条件的应用及最小力的画法。
杠杆平衡条件为$F_1l_1=F_2l_2$,在阻力和阻力臂一定时,要使动力最小,则动力臂应最长。
连接支点$O$与动力作用点$N$,$ON$即为最长动力臂,过$N$点作$ON$的垂线,方向斜向上,即为最小力的示意图。
【答案】:
图略(过$N$点作$ON$的垂线,方向斜向上,此线段即为最小力$F$的示意图)。
本题考查杠杆平衡条件的应用及最小力的画法。
杠杆平衡条件为$F_1l_1=F_2l_2$,在阻力和阻力臂一定时,要使动力最小,则动力臂应最长。
连接支点$O$与动力作用点$N$,$ON$即为最长动力臂,过$N$点作$ON$的垂线,方向斜向上,即为最小力的示意图。
【答案】:
图略(过$N$点作$ON$的垂线,方向斜向上,此线段即为最小力$F$的示意图)。
(1)分析甲、乙两次实验的数据,可以得出结论:使用定滑轮
(2)分析丙实验的数据发现,拉力的大小比钩码重力的一半要大,这主要是因为
不能
省距离,能
改变力的方向;用图乙装置进行实验时,若小明将绳子的自由端沿着水平向右的方向匀速拉动,拉力的大小将变大
。(2)分析丙实验的数据发现,拉力的大小比钩码重力的一半要大,这主要是因为
动滑轮有重力
。
答案:
(1)不能;能;变大
(2)动滑轮有重力
(1)不能;能;变大
(2)动滑轮有重力
12.(呼和浩特中考)杠杆是一种让人类突破自身力量极限的简单机械。如图所示,OA长20cm,OB长120cm,张宇同学竖直下压B端,重物被竖直匀速顶起10cm,已知重物质量为270kg。(g取10N/kg)求:
(1)若不计杆重和摩擦,上述过程在B端施加多大的力。
(2)若实际使用600N的力,则这个过程的机械效率。

(1)若不计杆重和摩擦,上述过程在B端施加多大的力。
(2)若实际使用600N的力,则这个过程的机械效率。
答案:
【解析】:
本题主要考查了杠杆原理以及机械效率的计算。
(1)首先,需要利用杠杆原理来计算在B端施加的力。杠杆原理的公式为$F_1L_1 = F_2L_2$,其中$F_1$和$L_1$分别是动力和动力臂,$F_2$和$L_2$分别是阻力和阻力臂。在这个问题中,动力臂是OB,阻力臂是OA,阻力是重物的重力,即$F_2 = G = mg$。将已知数值代入公式,可以求解出动力$F_1$。
(2)需要计算机械效率。机械效率的公式为$\eta = \frac{W_有}{W_总} × 100\%$,其中$W_有$是有用功,即重物被顶起所做的功,$W_总$是总功,即施加的力所做的功。有用功可以通过重物的重力和被顶起的高度来计算,总功可以通过施加的力和施力点移动的距离来计算。将已知数值代入公式,可以求解出机械效率。
【答案】:
(1)由杠杆的平衡条件得:$F × OB = G × OA$,
即:$F × 120cm = 270kg × 10N/kg × 20cm$,
解得:$F = 450N$;
答:过程在B端施加的力为$450N$。
(2)有用功:$W_有 = Gh = mgh = 270kg × 10N/kg × 0.1m = 270J$,
张宇同学施力点移动的距离$s = \frac{OB}{OA} × h = \frac{120cm}{20cm} × 0.1m = 0.6m$,
总功:$W_总 = F\prime s = 600N × 0.6m = 360J$,
机械效率:$\eta = \frac{W_有}{W_总} × 100\% = \frac{270J}{360J} × 100\% = 75\%$。
答:这个过程的机械效率为$75\%$。
本题主要考查了杠杆原理以及机械效率的计算。
(1)首先,需要利用杠杆原理来计算在B端施加的力。杠杆原理的公式为$F_1L_1 = F_2L_2$,其中$F_1$和$L_1$分别是动力和动力臂,$F_2$和$L_2$分别是阻力和阻力臂。在这个问题中,动力臂是OB,阻力臂是OA,阻力是重物的重力,即$F_2 = G = mg$。将已知数值代入公式,可以求解出动力$F_1$。
(2)需要计算机械效率。机械效率的公式为$\eta = \frac{W_有}{W_总} × 100\%$,其中$W_有$是有用功,即重物被顶起所做的功,$W_总$是总功,即施加的力所做的功。有用功可以通过重物的重力和被顶起的高度来计算,总功可以通过施加的力和施力点移动的距离来计算。将已知数值代入公式,可以求解出机械效率。
【答案】:
(1)由杠杆的平衡条件得:$F × OB = G × OA$,
即:$F × 120cm = 270kg × 10N/kg × 20cm$,
解得:$F = 450N$;
答:过程在B端施加的力为$450N$。
(2)有用功:$W_有 = Gh = mgh = 270kg × 10N/kg × 0.1m = 270J$,
张宇同学施力点移动的距离$s = \frac{OB}{OA} × h = \frac{120cm}{20cm} × 0.1m = 0.6m$,
总功:$W_总 = F\prime s = 600N × 0.6m = 360J$,
机械效率:$\eta = \frac{W_有}{W_总} × 100\% = \frac{270J}{360J} × 100\% = 75\%$。
答:这个过程的机械效率为$75\%$。
查看更多完整答案,请扫码查看