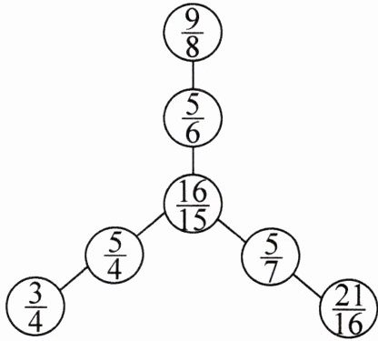
例1 (教材P39)把$\frac {3}{4}$、$\frac {5}{6}$、$\frac {5}{7}$、$\frac {5}{4}$、$\frac {9}{8}$、$\frac {16}{15}$、$\frac {21}{16}这七个数填入下面的◯$里,使每条线上3个数的乘积都是1。

思路分析 要使每条线上三个分数的乘积都是1,说明每三个分数的分子、分母都能约分。观察这七个分数,分子有3个5,而分母只有15含有因数5,所以$\frac {16}{15}只能填在中间的◯$里,其他三个分子为5的分数,分别放在三条线上;再确定每条线上第三个要填的分数,$\frac {16}{15}×\frac {5}{6}×\frac {9}{8}= 1$,$\frac {16}{15}×\frac {5}{7}×\frac {21}{16}= 1$,$\frac {16}{15}×\frac {5}{4}×\frac {3}{4}= 1$;最后根据不同的分数组合,将每条线上第三个分数填入$◯$里即可。
规范解答 填法不唯一,如:

思路分析 要使每条线上三个分数的乘积都是1,说明每三个分数的分子、分母都能约分。观察这七个分数,分子有3个5,而分母只有15含有因数5,所以$\frac {16}{15}只能填在中间的◯$里,其他三个分子为5的分数,分别放在三条线上;再确定每条线上第三个要填的分数,$\frac {16}{15}×\frac {5}{6}×\frac {9}{8}= 1$,$\frac {16}{15}×\frac {5}{7}×\frac {21}{16}= 1$,$\frac {16}{15}×\frac {5}{4}×\frac {3}{4}= 1$;最后根据不同的分数组合,将每条线上第三个分数填入$◯$里即可。
规范解答 填法不唯一,如:
答案:
中间○填$\frac{16}{15}$。
三条线组合及填法如下:
1. $\frac{5}{6}$、$\frac{9}{8}$与中间数乘积为1,填在一条线上;
2. $\frac{5}{7}$、$\frac{21}{16}$与中间数乘积为1,填在第二条线上;
3. $\frac{5}{4}$、$\frac{3}{4}$与中间数乘积为1,填在第三条线上。
示例填法(从顶端开始,按顺时针或指定方向):
顶端○:$\frac{9}{8}$,其下○:$\frac{5}{6}$;
左下分支○:$\frac{3}{4}$、$\frac{5}{4}$;
右下分支○:$\frac{21}{16}$、$\frac{5}{7}$;
中心○:$\frac{16}{15}$。
(填法不唯一,符合每条线乘积为1即可)
三条线组合及填法如下:
1. $\frac{5}{6}$、$\frac{9}{8}$与中间数乘积为1,填在一条线上;
2. $\frac{5}{7}$、$\frac{21}{16}$与中间数乘积为1,填在第二条线上;
3. $\frac{5}{4}$、$\frac{3}{4}$与中间数乘积为1,填在第三条线上。
示例填法(从顶端开始,按顺时针或指定方向):
顶端○:$\frac{9}{8}$,其下○:$\frac{5}{6}$;
左下分支○:$\frac{3}{4}$、$\frac{5}{4}$;
右下分支○:$\frac{21}{16}$、$\frac{5}{7}$;
中心○:$\frac{16}{15}$。
(填法不唯一,符合每条线乘积为1即可)
解决此类问题时,要先分析所给数的特征,把每条线上都出现的中心数作为解题的突破口,再把同组的数进行配对处理,通过计算、尝试、调整,逐步解决问题。
答案:
答案略
跟踪练习1 新素养 推理意识 把$\frac {4}{5}$、$\frac {5}{6}$、$\frac {7}{8}$、$\frac {10}{7}$、$\frac {3}{2}$、$\frac {21}{25}这六个数填入下面的◯$里,使三角形每条边上三个数的乘积都是1。

答案:
(填法不唯一)
例2 (教材P42)先计算,再观察每组算式的得数,能发现什么规律?
(1)$\frac {1}{2}-\frac {1}{3}= \frac {( )}{( )}$
$\frac {1}{2}×\frac {1}{3}= \frac {( )}{( )}$
(2)$\frac {1}{4}-\frac {1}{5}= \frac {( )}{( )}$
$\frac {1}{4}×\frac {1}{5}= \frac {( )}{( )}$
你能根据发现的规律再写几组这样的算式吗?
思路分析 观察发现每组算式的得数相同,每组算式中的两个分数的分子都为1,分母是相邻的两个自然数(0除外),这两个分数的差(较大的分数减去较小的分数)等于这两个分数的积。
规范解答 (1)$\frac {1}{6}$ $\frac {1}{6}$ (2)$\frac {1}{20}$ $\frac {1}{20}$
规律:分母是相邻的自然数(不为0)、分子是1的两个分数,它们的差(较大的分数减去较小的分数)等于它们的积。还可以写出很多组这样的算式,比如:$\frac {1}{7}-\frac {1}{8}= \frac {1}{56}$,$\frac {1}{7}×\frac {1}{8}= \frac {1}{56}$;$\frac {1}{10}-\frac {1}{11}= \frac {1}{110}$,$\frac {1}{10}×\frac {1}{11}= \frac {1}{110}$。
(1)$\frac {1}{2}-\frac {1}{3}= \frac {( )}{( )}$
$\frac {1}{2}×\frac {1}{3}= \frac {( )}{( )}$
(2)$\frac {1}{4}-\frac {1}{5}= \frac {( )}{( )}$
$\frac {1}{4}×\frac {1}{5}= \frac {( )}{( )}$
你能根据发现的规律再写几组这样的算式吗?
思路分析 观察发现每组算式的得数相同,每组算式中的两个分数的分子都为1,分母是相邻的两个自然数(0除外),这两个分数的差(较大的分数减去较小的分数)等于这两个分数的积。
规范解答 (1)$\frac {1}{6}$ $\frac {1}{6}$ (2)$\frac {1}{20}$ $\frac {1}{20}$
规律:分母是相邻的自然数(不为0)、分子是1的两个分数,它们的差(较大的分数减去较小的分数)等于它们的积。还可以写出很多组这样的算式,比如:$\frac {1}{7}-\frac {1}{8}= \frac {1}{56}$,$\frac {1}{7}×\frac {1}{8}= \frac {1}{56}$;$\frac {1}{10}-\frac {1}{11}= \frac {1}{110}$,$\frac {1}{10}×\frac {1}{11}= \frac {1}{110}$。
答案:
(1)$\frac{1}{2} - \frac{1}{3} = \frac{3 - 2}{2×3} = \frac{1}{6}$;$\frac{1}{2}×\frac{1}{3} = \frac{1×1}{2×3} = \frac{1}{6}$
(2)$\frac{1}{4} - \frac{1}{5} = \frac{5 - 4}{4×5} = \frac{1}{20}$;$\frac{1}{4}×\frac{1}{5} = \frac{1×1}{4×5} = \frac{1}{20}$
规律:分子是1,分母是相邻非零自然数的两个分数,它们的差等于它们的积。
示例算式:$\frac{1}{5} - \frac{1}{6} = \frac{1}{30}$,$\frac{1}{5}×\frac{1}{6} = \frac{1}{30}$;$\frac{1}{8} - \frac{1}{9} = \frac{1}{72}$,$\frac{1}{8}×\frac{1}{9} = \frac{1}{72}$
(1)$\frac{1}{2} - \frac{1}{3} = \frac{3 - 2}{2×3} = \frac{1}{6}$;$\frac{1}{2}×\frac{1}{3} = \frac{1×1}{2×3} = \frac{1}{6}$
(2)$\frac{1}{4} - \frac{1}{5} = \frac{5 - 4}{4×5} = \frac{1}{20}$;$\frac{1}{4}×\frac{1}{5} = \frac{1×1}{4×5} = \frac{1}{20}$
规律:分子是1,分母是相邻非零自然数的两个分数,它们的差等于它们的积。
示例算式:$\frac{1}{5} - \frac{1}{6} = \frac{1}{30}$,$\frac{1}{5}×\frac{1}{6} = \frac{1}{30}$;$\frac{1}{8} - \frac{1}{9} = \frac{1}{72}$,$\frac{1}{8}×\frac{1}{9} = \frac{1}{72}$
查看更多完整答案,请扫码查看