9. [2024 淮安模拟]如图,A~D 是初中化学常见的四种不同类别的物质。A 与 B 反应用于配制农药波尔多液,D 是红棕色固体氧化物,D、E 是同类物质(部分反应物、生成物及反应条件未标出,“→”表示转化关系,“—”表示相互反应)。下列说法错误的是 ( )

A. 将 A 的饱和溶液升温,溶液变浑浊,属于物理变化
B. 物质 B 的溶液可用铁桶盛放
C. C→D 的转化过程中,可以将化学能转化为热能
D. B—C 的反应属于置换反应
A. 将 A 的饱和溶液升温,溶液变浑浊,属于物理变化
B. 物质 B 的溶液可用铁桶盛放
C. C→D 的转化过程中,可以将化学能转化为热能
D. B—C 的反应属于置换反应
答案:
B
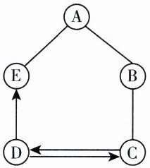
10. [2024 宿迁二模]某同学发现不同类别物质之间的转化有规律可循,画出了如图所示的思维导图(“—”表示相连的两种物质能发生化学反应,“→”表示一种物质能一步转化成另一种物质)。A、B、C、D、E 分别属于不同类别的物质,B 的浓溶液常用作干燥剂,D 的俗名为纯碱,C 为铁锈的主要成分。请回答下列问题:
(1)F 的化学式为________。
(2)D→E 的化学方程式为________________________,该反应的基本类型为__________。
(3)A 与____________共同作用会生锈;保护金属资源的有效途径是______________(写一条)。

(1)F 的化学式为________。
(2)D→E 的化学方程式为________________________,该反应的基本类型为__________。
(3)A 与____________共同作用会生锈;保护金属资源的有效途径是______________(写一条)。
答案:
$FeSO_4$(或$H_2$)@@$Na_2CO_3 + Ca(OH)_2 = CaCO_3↓ + 2NaOH$@@复分解反应@@氧气、水@@防止金属锈蚀(合理即可)
11. 有一包白色固体混合物,可能由 NaCl、CuSO₄、Na₂CO₃、Na₂SO₄、BaCl₂、NaOH 中的一种或几种组成。为确定其组成,某兴趣小组的同学进行了下列实验:
(1)取少量固体溶于足量的水中,过滤,得到白色固体 A 和无色滤液 B,则原固体中一定不含__________。
(2)向白色固体 A 中加入足量的稀盐酸,固体全部溶解,且有气泡生成,则原固体中一定含有________________,一定不含______________。
(3)小红取少量滤液 B,滴加无色酚酞溶液,溶液变红,她认为原固体中一定含有 NaOH。你同意小红的观点吗?______________(填“同意”或“不同意”)。
(4)小雪另取一份滤液 B,加入足量的 BaCl₂溶液,观察到有白色沉淀生成,再向上层清液中滴加无色酚酞溶液,溶液变红,则原固体中一定含有________。
(5)以上实验不能确定的物质是________。
(1)取少量固体溶于足量的水中,过滤,得到白色固体 A 和无色滤液 B,则原固体中一定不含__________。
(2)向白色固体 A 中加入足量的稀盐酸,固体全部溶解,且有气泡生成,则原固体中一定含有________________,一定不含______________。
(3)小红取少量滤液 B,滴加无色酚酞溶液,溶液变红,她认为原固体中一定含有 NaOH。你同意小红的观点吗?______________(填“同意”或“不同意”)。
(4)小雪另取一份滤液 B,加入足量的 BaCl₂溶液,观察到有白色沉淀生成,再向上层清液中滴加无色酚酞溶液,溶液变红,则原固体中一定含有________。
(5)以上实验不能确定的物质是________。
答案:
$CuSO_4$@@$Na_2CO_3$、$BaCl_2$@@$Na_2SO_4$@@不同意@@$NaOH$@@$NaCl$
查看更多完整答案,请扫码查看