2025年5年高考3年模拟高中化学选择性必修第三册苏教版
注:目前有些书本章节名称可能整理的还不是很完善,但都是按照顺序排列的,请同学们按照顺序仔细查找。练习册 2025年5年高考3年模拟高中化学选择性必修第三册苏教版 答案主要是用来给同学们做完题方便对答案用的,请勿直接抄袭。
18.(9 分)苯胺是一种重要精细化工原料,在染料、医药等行业中具有广泛的应用。实验室用硝基苯为原料制取苯胺,其反应原理和装置如下:

已知:

实验步骤如下:
①组装好实验装置并检查装置气密性。
②先向三颈烧瓶中加入沸石及硝基苯,再取下恒压滴液漏斗,换上温度计。
③打开活塞 K,通入 $\mathrm{H_2}$一段时间。
④利用油浴加热。
⑤反应结束后,关闭活塞 K,向三颈烧瓶中加入生石灰。
⑥调整好温度计的位置,继续加热,收集 182~186 ℃的馏分,得到较纯苯胺。
回答下列问题:
(1)步骤④中利用油浴加热的目的是
(2)步骤⑥中温度计水银球的位置
(3)若实验中硝基苯用量为 10 mL,最后得到苯胺 5.6 g,苯胺的产率为
已知:
实验步骤如下:
①组装好实验装置并检查装置气密性。
②先向三颈烧瓶中加入沸石及硝基苯,再取下恒压滴液漏斗,换上温度计。
③打开活塞 K,通入 $\mathrm{H_2}$一段时间。
④利用油浴加热。
⑤反应结束后,关闭活塞 K,向三颈烧瓶中加入生石灰。
⑥调整好温度计的位置,继续加热,收集 182~186 ℃的馏分,得到较纯苯胺。
回答下列问题:
(1)步骤④中利用油浴加热的目的是
使反应液温度维持在$140° C$,使反应物充分反应
;步骤⑤中,加入生石灰的作用是吸水
。(2)步骤⑥中温度计水银球的位置
与三颈烧瓶出气口相平
。(3)若实验中硝基苯用量为 10 mL,最后得到苯胺 5.6 g,苯胺的产率为
60.2%
(结果精确到 0.1%)。
答案:
18.答案(除注明外,每空2分)
(1)使反应液温度维持在$140° C$,使反应物充分反应 吸水
(2)与三颈烧瓶出气口相平
(3)60.2%(3分)
解析
(1)由题中信息可知,利用硝基苯制取苯胺的反应温度为$140° C$,则步骤④中利用油浴加热的目的是使反应液温度维持在$140° C$,有利于反应进行;步骤⑤中,加入生石灰的作用是吸水。
(2)步骤⑥蒸馏时,温度计水银球的位置应与三颈烧瓶出气口相平。
(3)实验中硝基苯用量为10mL,质量为$10mL×1.23g/mL=12.3g$,理论上生成苯胺的质量为$\frac{12.3g×93}{123}=9.3g$,实际生成苯胺的质量为5.6g,则苯胺的产率为$\frac{5.6g}{9.3g}×100\%≈60.2\%$。
(1)使反应液温度维持在$140° C$,使反应物充分反应 吸水
(2)与三颈烧瓶出气口相平
(3)60.2%(3分)
解析
(1)由题中信息可知,利用硝基苯制取苯胺的反应温度为$140° C$,则步骤④中利用油浴加热的目的是使反应液温度维持在$140° C$,有利于反应进行;步骤⑤中,加入生石灰的作用是吸水。
(2)步骤⑥蒸馏时,温度计水银球的位置应与三颈烧瓶出气口相平。
(3)实验中硝基苯用量为10mL,质量为$10mL×1.23g/mL=12.3g$,理论上生成苯胺的质量为$\frac{12.3g×93}{123}=9.3g$,实际生成苯胺的质量为5.6g,则苯胺的产率为$\frac{5.6g}{9.3g}×100\%≈60.2\%$。
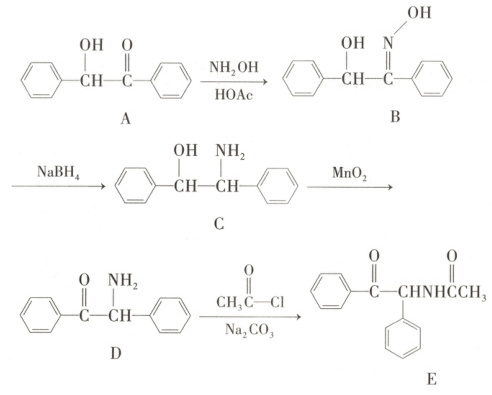
19.(11 分)化合物 F 是一种复合材料的组成成分,其合成路线如下:


(1)C→D 的反应类型为
(2)已知 ,则化合物 X 的结构简式为
(3)E 的一种同分异构体同时满足下列条件,写出该同分异构体的结构简式:
①在一定条件下能发生水解反应;
②每个分子中含两个苯环且含有 4 种不同化学环境的氢原子。
(4)苯乙酮肟(
)常作用杀虫剂。设计已
和
为原料制备苯乙酮肟的合成路线(无机试剂和有机溶剂任用,合成路线示例见本题题干)。
(1)C→D 的反应类型为
氧化反应
。(2)已知 ,则化合物 X 的结构简式为
。
(3)E 的一种同分异构体同时满足下列条件,写出该同分异构体的结构简式:
①在一定条件下能发生水解反应;
②每个分子中含两个苯环且含有 4 种不同化学环境的氢原子。
(4)苯乙酮肟(
答案:
19.答案(除注明外,每空2分)
(1)氧化反应
(2)$\mathrm{CH_3CH_2NH_2}$
(3)
(4)
19.答案(除注明外,每空2分)
(1)氧化反应
(2)$\mathrm{CH_3CH_2NH_2}$
(3)
(4)
查看更多完整答案,请扫码查看