2025年5年高考3年模拟高中化学选择性必修第三册苏教版
注:目前有些书本章节名称可能整理的还不是很完善,但都是按照顺序排列的,请同学们按照顺序仔细查找。练习册 2025年5年高考3年模拟高中化学选择性必修第三册苏教版 答案主要是用来给同学们做完题方便对答案用的,请勿直接抄袭。
10.已知有机物分子中同一个碳原子上连接 2 个羟基的结构不稳定,会转化为碳氧双键,下列关于组成和结构可用
表示的有机物的说法中,正确的是
(
A.该物质一定能使酸性高锰酸钾溶液褪色
B.其结构有 32 种(不考虑立体异构)
C.不一定能发生消去反应
D.其水解产物可能会发生银镜反应
(
D
)A.该物质一定能使酸性高锰酸钾溶液褪色
B.其结构有 32 种(不考虑立体异构)
C.不一定能发生消去反应
D.其水解产物可能会发生银镜反应
答案:
10.D 该物质若为
则不能使酸
性高锰酸钾溶液褪色,A错误;丁基($\mathrm{—C_4H_9}$)共有4种结构,$\mathrm{—C_3H_5Cl_2}$共有9种结构,则该有机物共有36种结构,B错误;$\mathrm{—C_3H_5Cl_2}$共有9种结构,所有结构中氯原子所连碳原子的邻位碳原子上都有氢原子,所以都可以发生消去反应,C错误;$\mathrm{—CH—CHCl_2}$和
$\mathrm{CH_3}$
$\mathrm{—CH_2—CH_2—CH—Cl}$两种结构经水解后连在同一个碳原子上的两
个羟基可转化为醛基,能发生银镜反应,D正确。
10.D 该物质若为
性高锰酸钾溶液褪色,A错误;丁基($\mathrm{—C_4H_9}$)共有4种结构,$\mathrm{—C_3H_5Cl_2}$共有9种结构,则该有机物共有36种结构,B错误;$\mathrm{—C_3H_5Cl_2}$共有9种结构,所有结构中氯原子所连碳原子的邻位碳原子上都有氢原子,所以都可以发生消去反应,C错误;$\mathrm{—CH—CHCl_2}$和
$\mathrm{CH_3}$
$\mathrm{—CH_2—CH_2—CH—Cl}$两种结构经水解后连在同一个碳原子上的两
个羟基可转化为醛基,能发生银镜反应,D正确。
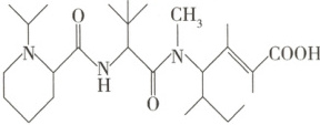
11.某药物的中间体结构如图所示。下列有关说法正确的是
(

A.利用稀硝酸和硝酸银溶液可直接检验其中的溴原子
B.在浓硫酸作用、加热条件下,可发生消去反应(形成碳碳双键)或取代反应
C.该有机物苯环上的一氯代物有 4 种(不含立体异构)
D.1 mol 该有机物与氢气加成,最多消耗 4 mol 氢气
(
B
)A.利用稀硝酸和硝酸银溶液可直接检验其中的溴原子
B.在浓硫酸作用、加热条件下,可发生消去反应(形成碳碳双键)或取代反应
C.该有机物苯环上的一氯代物有 4 种(不含立体异构)
D.1 mol 该有机物与氢气加成,最多消耗 4 mol 氢气
答案:
11.B 有机物中的卤素原子不能和硝酸银反应,故不能利用稀硝酸和硝酸银溶液直接检验题述有机物中的溴原子,A项错误;有机物分子中羟基连接的碳原子的邻位碳原子上有氢原子,在浓硫酸作用、加热条件下能发生消去反应形成碳碳双键,同时含有羟基和羧基,在浓硫酸作用、加热条件下可发生酯化反应,酯化反应属于取代反应,B项正确;该有机物苯环上的一氯代物有两种,C项错误;1mol该有机物和氢气加成,最多消耗3mol氢气,酯基和羧基中的碳氧双键不与$\mathrm{H_2}$发生加成反应,
D项错误。
D项错误。
12.某有机物的结构如图所示,下列说法不正确的是
(

A.该物质的分子式为 $\mathrm{C_{20}H_{24}N_2SO}$
B.该物质可发生水解反应、氧化反应、加聚反应
C.1 mol 该物质最多可与 7 mol $\mathrm{H_2}$加成,且完全加成后,产物每个分子中含有 2 个手性碳原子
D.该物质分子中所有原子可能在同一平面上
(
D
)A.该物质的分子式为 $\mathrm{C_{20}H_{24}N_2SO}$
B.该物质可发生水解反应、氧化反应、加聚反应
C.1 mol 该物质最多可与 7 mol $\mathrm{H_2}$加成,且完全加成后,产物每个分子中含有 2 个手性碳原子
D.该物质分子中所有原子可能在同一平面上
答案:
12.D 根据题给结构可知该物质的分子式为$\mathrm{C_{20}H_{24}N_2SO}$,故A正确;该物质分子中含有酰胺基,可发生水解反应,含有碳碳双键,可以发生加聚反应,也可以被氧化,故B正确;该物质分子中的苯环、碳碳双键可与氢气加成,酰胺基不可与氢气加成,1mol该物质最多可与7mol$\mathrm{H_2}$加成,加成后的产物每个分子中含有2个手性碳原子,故C正确;分子中含$\mathrm{—CH_2—}$,所有原子不可能在同一平面上,故D错误。
13.化合物 P 具有抗肿瘤活性,结构如图,下列有关 P 的说法错误的是
(

A.存在顺反异构体
B.可发生取代反应、氧化反应、消去反应
C.与酸或碱溶液反应均可生成盐
D.分子中存在手性碳原子
(
B
)A.存在顺反异构体
B.可发生取代反应、氧化反应、消去反应
C.与酸或碱溶液反应均可生成盐
D.分子中存在手性碳原子
答案:
13.B 化合物P中碳碳双键的碳原子连接的原子或原子团不同,存在顺反异构体,A正确。分子中含羧基、酰胺基,能发生取代反应;含碳碳双键,能发生氧化反应;不能发生消去反应,B错误。分子中存在酰胺基,与酸或碱溶液反应均可生成盐,C正确。由结构可知,分子中存在手性碳原子,D正确。
14.溴螨酯是一种杀螨剂。甲、乙两种物质是合成溴螨酯过程的中间产物,结构如图所示,下列有关二者的说法错误的是
(

A.甲、乙分子中均不含手性碳原子
B.甲、乙分子中苯环上的一氯代物均为 2 种
C.甲、乙互为同分异构体
D.一定条件下,等物质的量的甲和乙最多消耗 $\mathrm{NaOH}$的物质的量之比为 4∶5
(
C
)A.甲、乙分子中均不含手性碳原子
B.甲、乙分子中苯环上的一氯代物均为 2 种
C.甲、乙互为同分异构体
D.一定条件下,等物质的量的甲和乙最多消耗 $\mathrm{NaOH}$的物质的量之比为 4∶5
答案:
14.C 连有4个不相同的原子或原子团的碳原子叫手性碳原子,根据甲、乙的结构可知,甲、乙分子中均不含手性碳原子,A项正确。甲、乙分子中苯环均为对位连接不同原子或原子团的结构,苯环上的一氯代物都有2种,B项正确。甲的分子式为$\mathrm{C_{14}H_8O_2Br_2}$,乙的分子式为$\mathrm{C_{14}H_{10}O_3Br_2}$,故二者不互为同分异构体,C项错误。一定条件下,1mol甲最多消耗4mol$\mathrm{NaOH}$;1mol乙最多消耗5mol$\mathrm{NaOH}$,故等物质的量的甲、乙消耗$\mathrm{NaOH}$的物质的量之比为4:5,D项正确。
15.从水杨酸
到阿司匹林(
) ,再到长效缓释阿司匹林,水杨酸的结构改造经历了数百年。一种制备水杨酸的流程如图所示,下列说法错误的是
(


A.设计步骤①的目的是利用—$\mathrm{SO_3H}$占位,减少副产物生成
B.1 mol 阿司匹林与足量氢氧化钠溶液反应时,最多可消耗 3 mol $\mathrm{NaOH}$
C.步骤④、⑤的顺序可以互换
D.要获得疗效更佳、作用时间更长的缓释阿司匹林,可以对分子结构进行修饰
(
C
)A.设计步骤①的目的是利用—$\mathrm{SO_3H}$占位,减少副产物生成
B.1 mol 阿司匹林与足量氢氧化钠溶液反应时,最多可消耗 3 mol $\mathrm{NaOH}$
C.步骤④、⑤的顺序可以互换
D.要获得疗效更佳、作用时间更长的缓释阿司匹林,可以对分子结构进行修饰
答案:
15.C 由步骤①~③分析可知:①中引入$\mathrm{—SO_3H}$占位,使②中的$\mathrm{—Br}$定位到甲基的邻位,通过③又去除$\mathrm{—SO_3H}$,故A正确;阿司匹林和氢氧化
钠溶液反应的化学方程式为
$\mathrm{图片尺寸异常或加载失败,请检查<ImageId7></Img>+3NaOH—\triangle \> 图片尺寸异常或加载失败,请检查<ImageId8></Img>+2H_2O+CH_3COONa}$,故B正确;步骤④、⑤的顺序不可以互换,故C错误;修饰分子结构可以优化其性能,故D正确。
钠溶液反应的化学方程式为
$\mathrm{图片尺寸异常或加载失败,请检查<ImageId7></Img>+3NaOH—\triangle \> 图片尺寸异常或加载失败,请检查<ImageId8></Img>+2H_2O+CH_3COONa}$,故B正确;步骤④、⑤的顺序不可以互换,故C错误;修饰分子结构可以优化其性能,故D正确。
查看更多完整答案,请扫码查看