2026年新高考5年真题高中化学全一册通用版湖南专版
注:目前有些书本章节名称可能整理的还不是很完善,但都是按照顺序排列的,请同学们按照顺序仔细查找。练习册 2026年新高考5年真题高中化学全一册通用版湖南专版 答案主要是用来给同学们做完题方便对答案用的,请勿直接抄袭。
第4页
- 第1页
- 第2页
- 第3页
- 第4页
- 第5页
- 第6页
- 第7页
- 第8页
- 第9页
- 第10页
- 第11页
- 第12页
- 第13页
- 第14页
- 第15页
- 第16页
- 第17页
- 第18页
- 第19页
- 第20页
- 第21页
- 第22页
- 第23页
- 第24页
- 第25页
- 第26页
- 第27页
- 第28页
- 第29页
- 第30页
- 第31页
- 第32页
- 第33页
- 第34页
- 第35页
- 第36页
- 第37页
- 第38页
- 第39页
- 第40页
- 第41页
- 第42页
- 第43页
- 第44页
- 第45页
- 第46页
- 第47页
- 第48页
- 第49页
- 第50页
- 第51页
- 第52页
- 第53页
- 第54页
- 第55页
- 第56页
- 第57页
- 第58页
- 第59页
- 第60页
- 第61页
- 第62页
- 第63页
- 第64页
- 第65页
- 第66页
- 第67页
- 第68页
- 第69页
- 第70页
- 第71页
- 第72页
- 第73页
- 第74页
- 第75页
- 第76页
- 第77页
- 第78页
- 第79页
- 第80页
- 第81页
- 第82页
- 第83页
- 第84页
- 第85页
- 第86页
- 第87页
- 第88页
- 第89页
- 第90页
- 第91页
- 第92页
- 第93页
- 第94页
- 第95页
- 第96页
- 第97页
- 第98页
- 第99页
- 第100页
13. 草酸广泛应用于食品、药品等领域。常温下,通过下列实验探究了草酸的性质:
实验 1:向$10 mL 0.2 mol·L^{-1} H_2C_2O_4$溶液中滴入一定量$0.2 mol·L^{-1} KOH$溶液。混合溶液的 pH 与$lgX\left[X = \left[\frac{c(HC_2O_4^-)}{c(H_2C_2O_4)} 或 \frac{c(C_2O_4^{2-})}{c(HC_2O_4^-)}\right]\right.$的关系如图所示。

实验 2:向$10 mL 0.2 mol·L^{-1} H_2C_2O_4$溶液中加入$10 mL 0.2 mol·L^{-1} BaCl_2$溶液。
已知:$25°C$时,$K_sp(BaC_2O_4)=10^{-7.6}$。混合后溶液体积变化忽略不计。
下列说法错误的是 (
A.实验 1,当溶液中$c(H_2C_2O_4)=c(C_2O_4^{2-})$时,$pH=2.5$
B.实验 1,当溶液呈中性时:$c(C_2O_4^{2-})>c(HC_2O_4^-)>c(H_2C_2O_4)$
C.实验 2,溶液中有沉淀生成
D.实验 2,溶液中存在:$2c(Ba^{2+})+c(H^+)=c(Cl^-)+c(HC_2O_4^-)+2c(C_2O_4^{2-})$
实验 1:向$10 mL 0.2 mol·L^{-1} H_2C_2O_4$溶液中滴入一定量$0.2 mol·L^{-1} KOH$溶液。混合溶液的 pH 与$lgX\left[X = \left[\frac{c(HC_2O_4^-)}{c(H_2C_2O_4)} 或 \frac{c(C_2O_4^{2-})}{c(HC_2O_4^-)}\right]\right.$的关系如图所示。
实验 2:向$10 mL 0.2 mol·L^{-1} H_2C_2O_4$溶液中加入$10 mL 0.2 mol·L^{-1} BaCl_2$溶液。
已知:$25°C$时,$K_sp(BaC_2O_4)=10^{-7.6}$。混合后溶液体积变化忽略不计。
下列说法错误的是 (
D
)A.实验 1,当溶液中$c(H_2C_2O_4)=c(C_2O_4^{2-})$时,$pH=2.5$
B.实验 1,当溶液呈中性时:$c(C_2O_4^{2-})>c(HC_2O_4^-)>c(H_2C_2O_4)$
C.实验 2,溶液中有沉淀生成
D.实验 2,溶液中存在:$2c(Ba^{2+})+c(H^+)=c(Cl^-)+c(HC_2O_4^-)+2c(C_2O_4^{2-})$
答案:
13.参考答案D
命题意图本题以草酸性质探究为情境,结合酸碱中和滴定与沉淀溶解平衡分析,体现了“变化观念与平衡思想”等化学学科核心素养。
解题思路Kₐ₁ = c(HC₂O₄⁻)·c(H⁺)/c(H₂C₂O₄)、Kₐ₂ = c(C₂O₄²⁻)·c(H⁺)/c(HC₂O₄⁻),根据Kₐ₁ > Kₐ₂可知,当lgX = 0时,即c(HC₂O₄⁻)/c(H₂C₂O₄) = 1、c(C₂O₄²⁻)/c(HC₂O₄⁻) = 1时,Kₐ₁对应的c(H⁺)大,pH小,故Kₐ₁ = c(HC₂O₄⁻)·c(H⁺)/c(H₂C₂O₄) = 10⁻¹.²,Kₐ₂ = c(C₂O₄²⁻)·c(H⁺)/c(HC₂O₄⁻) = 10⁻³.⁸,Kₐ₁·Kₐ₂ = c(HC₂O₄⁻)·c(H⁺)/c(H₂C₂O₄)×c(C₂O₄²⁻)·c(H⁺)/c(HC₂O₄⁻) = c(C₂O₄²⁻)·c²(H⁺)/c(H₂C₂O₄) = 10⁻⁵.⁰。实验1,当溶液中c(H₂C₂O₄) = c(C₂O₄²⁻)时,c²(H⁺) = Kₐ₁·Kₐ₂ = 10⁻⁵.⁰,则c(H⁺) = 10⁻².⁵mol·L⁻¹,即pH = 2.5,A项正确。常温下,当溶液呈中性时,c(H⁺) = 10⁻⁷mol·L⁻¹,结合两步电离平衡常数可知,c(HC₂O₄⁻)/c(H₂C₂O₄) = Kₐ₁/c(H⁺) = 10⁻¹.²/10⁻⁷ > 1,即c(HC₂O₄⁻) > c(H₂C₂O₄),同理c(C₂O₄²⁻)/c(HC₂O₄⁻) = Kₐ₂/c(H⁺) = 10⁻³.⁸/10⁻⁷ > 1,即c(C₂O₄²⁻) > c(HC₂O₄⁻),B项正确。实验2中,c(H₂C₂O₄) = c(Ba²⁺) = 0.1mol·L⁻¹,H₂C₂O₄会电离产生C₂O₄²⁻,设电离产生的c(C₂O₄²⁻) = xmol·L⁻¹,可列:
H₂C₂O₄ ⇌ 2H⁺ + C₂O₄²⁻
起始/(mol·L⁻¹) 0.1 0 0
变化/(mol·L⁻¹) x 2x x
平衡/(mol·L⁻¹) 0.1 - x 2x x
则Kₐ₁·Kₐ₂ = c(C₂O₄²⁻)·c²(H⁺)/c(H₂C₂O₄) = x×(2x)²/(0.1 - x) = 10⁻⁵.⁰,x≈0.01,故浓度商Q = c(Ba²⁺)·c(C₂O₄²⁻) = 0.1×0.01 = 10⁻³ > Kₛₚ(BaC₂O₄) = 10⁻⁷.⁶,故实验2溶液中有沉淀生成,C项正确。实验2溶液中存在电荷守恒,选项中所列等式右侧缺少了c(OH⁻),D项错误。
命题意图本题以草酸性质探究为情境,结合酸碱中和滴定与沉淀溶解平衡分析,体现了“变化观念与平衡思想”等化学学科核心素养。
解题思路Kₐ₁ = c(HC₂O₄⁻)·c(H⁺)/c(H₂C₂O₄)、Kₐ₂ = c(C₂O₄²⁻)·c(H⁺)/c(HC₂O₄⁻),根据Kₐ₁ > Kₐ₂可知,当lgX = 0时,即c(HC₂O₄⁻)/c(H₂C₂O₄) = 1、c(C₂O₄²⁻)/c(HC₂O₄⁻) = 1时,Kₐ₁对应的c(H⁺)大,pH小,故Kₐ₁ = c(HC₂O₄⁻)·c(H⁺)/c(H₂C₂O₄) = 10⁻¹.²,Kₐ₂ = c(C₂O₄²⁻)·c(H⁺)/c(HC₂O₄⁻) = 10⁻³.⁸,Kₐ₁·Kₐ₂ = c(HC₂O₄⁻)·c(H⁺)/c(H₂C₂O₄)×c(C₂O₄²⁻)·c(H⁺)/c(HC₂O₄⁻) = c(C₂O₄²⁻)·c²(H⁺)/c(H₂C₂O₄) = 10⁻⁵.⁰。实验1,当溶液中c(H₂C₂O₄) = c(C₂O₄²⁻)时,c²(H⁺) = Kₐ₁·Kₐ₂ = 10⁻⁵.⁰,则c(H⁺) = 10⁻².⁵mol·L⁻¹,即pH = 2.5,A项正确。常温下,当溶液呈中性时,c(H⁺) = 10⁻⁷mol·L⁻¹,结合两步电离平衡常数可知,c(HC₂O₄⁻)/c(H₂C₂O₄) = Kₐ₁/c(H⁺) = 10⁻¹.²/10⁻⁷ > 1,即c(HC₂O₄⁻) > c(H₂C₂O₄),同理c(C₂O₄²⁻)/c(HC₂O₄⁻) = Kₐ₂/c(H⁺) = 10⁻³.⁸/10⁻⁷ > 1,即c(C₂O₄²⁻) > c(HC₂O₄⁻),B项正确。实验2中,c(H₂C₂O₄) = c(Ba²⁺) = 0.1mol·L⁻¹,H₂C₂O₄会电离产生C₂O₄²⁻,设电离产生的c(C₂O₄²⁻) = xmol·L⁻¹,可列:
H₂C₂O₄ ⇌ 2H⁺ + C₂O₄²⁻
起始/(mol·L⁻¹) 0.1 0 0
变化/(mol·L⁻¹) x 2x x
平衡/(mol·L⁻¹) 0.1 - x 2x x
则Kₐ₁·Kₐ₂ = c(C₂O₄²⁻)·c²(H⁺)/c(H₂C₂O₄) = x×(2x)²/(0.1 - x) = 10⁻⁵.⁰,x≈0.01,故浓度商Q = c(Ba²⁺)·c(C₂O₄²⁻) = 0.1×0.01 = 10⁻³ > Kₛₚ(BaC₂O₄) = 10⁻⁷.⁶,故实验2溶液中有沉淀生成,C项正确。实验2溶液中存在电荷守恒,选项中所列等式右侧缺少了c(OH⁻),D项错误。
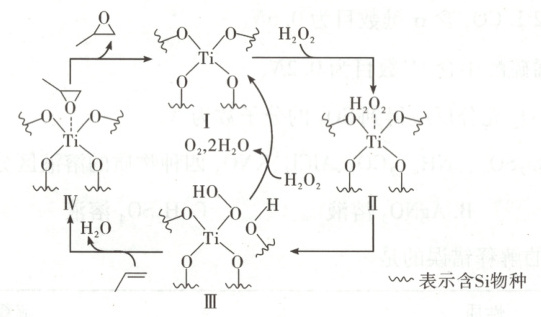
14. 环氧化合物是重要的有机合成中间体。以钛掺杂沸石为催化剂,由丙烯($/\!\!/$)为原料生产环氧丙烷($◯\!\!\!-\!\!\!-$ )的反应机理如图所示。下列说法正确的是 (

A.过程中Ⅱ是催化剂
B.过程中有极性键和非极性键的断裂和形成
C.过程中 Ti 元素的化合价发生了变化
D.丙烯与
B
)A.过程中Ⅱ是催化剂
B.过程中有极性键和非极性键的断裂和形成
C.过程中 Ti 元素的化合价发生了变化
D.丙烯与
双
氧水反应生成环氧丙烷的原子利用率为 100%
答案:
14.参考答案B
命题意图本题以生产环氧丙烷的反应机理为情境,体现了“证据推理与模型认知”等化学学科核心素养。
解题思路根据反应机理可知,过程中Ⅰ先消耗后生成,是催化剂,Ⅱ先生成后消耗,是中间产物,A项错误。过程中存在O—O、C—C非极性键的断裂,以及O—O非极性键的形成;还存在O—H极性键的断裂,以及O—C极性键的形成,B项正确。过程中Ti—O键的个数始终是4,与H₂O₂形成的配位键不会改变Ti的化合价,故Ti元素的化合价不变,C项错误。根据反应机理可知,丙烯与双氧水反应生成环氧丙烷和水,即生成环氧丙烷的原子利用率小于100%,D项错误。
命题意图本题以生产环氧丙烷的反应机理为情境,体现了“证据推理与模型认知”等化学学科核心素养。
解题思路根据反应机理可知,过程中Ⅰ先消耗后生成,是催化剂,Ⅱ先生成后消耗,是中间产物,A项错误。过程中存在O—O、C—C非极性键的断裂,以及O—O非极性键的形成;还存在O—H极性键的断裂,以及O—C极性键的形成,B项正确。过程中Ti—O键的个数始终是4,与H₂O₂形成的配位键不会改变Ti的化合价,故Ti元素的化合价不变,C项错误。根据反应机理可知,丙烯与双氧水反应生成环氧丙烷和水,即生成环氧丙烷的原子利用率小于100%,D项错误。
查看更多完整答案,请扫码查看