2025年人教金学典同步练习册同步解析与测评高中生物必修第一册人教版
注:目前有些书本章节名称可能整理的还不是很完善,但都是按照顺序排列的,请同学们按照顺序仔细查找。练习册 2025年人教金学典同步练习册同步解析与测评高中生物必修第一册人教版 答案主要是用来给同学们做完题方便对答案用的,请勿直接抄袭。
第33页
- 第1页
- 第2页
- 第3页
- 第4页
- 第5页
- 第6页
- 第7页
- 第8页
- 第9页
- 第10页
- 第11页
- 第12页
- 第13页
- 第14页
- 第15页
- 第16页
- 第17页
- 第18页
- 第19页
- 第20页
- 第21页
- 第22页
- 第23页
- 第24页
- 第25页
- 第26页
- 第27页
- 第28页
- 第29页
- 第30页
- 第31页
- 第32页
- 第33页
- 第34页
- 第35页
- 第36页
- 第37页
- 第38页
- 第39页
- 第40页
- 第41页
- 第42页
- 第43页
- 第44页
- 第45页
- 第46页
- 第47页
- 第48页
- 第49页
- 第50页
- 第51页
- 第52页
- 第53页
- 第54页
- 第55页
- 第56页
- 第57页
- 第58页
- 第59页
- 第60页
- 第61页
- 第62页
- 第63页
- 第64页
- 第65页
- 第66页
- 第67页
- 第68页
- 第69页
- 第70页
- 第71页
- 第72页
- 第73页
- 第74页
- 第75页
- 第76页
- 第77页
- 第78页
- 第79页
- 第80页
- 第81页
- 第82页
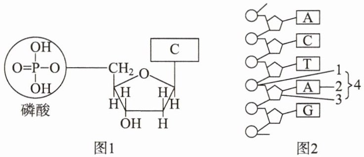
10. 下图是某核苷酸(图 1)与核苷酸链(图 2)的示意图。据图回答下面的问题。
(1) 图 1 所示化合物名称是__________,是组成__________的基本单位。
(2) 图 2 所示 2、3、4 的名称分别是
(3) 此种核酸与另一种核酸相比较,其特有的碱基的中文名称是

(1) 图 1 所示化合物名称是__________,是组成__________的基本单位。
(2) 图 2 所示 2、3、4 的名称分别是
腺嘌呤
、脱氧核糖
、腺嘌呤脱氧核糖核苷酸
。(3) 此种核酸与另一种核酸相比较,其特有的碱基的中文名称是
胸腺嘧啶
。
答案:
10.
(1)胞嘧啶脱氧核糖核苷酸 脱氧核糖核酸(DNA)
(2)腺嘌呤 脱氧核糖 腺嘌呤脱氧核糖核苷酸
(3)胸腺嘧啶
【解析】
(1)图1中的碱基为胞嘧啶,五碳糖为脱氧核糖,所以该化合物为胞嘧啶脱氧核糖核苷酸,是组成DNA的基本单位。
(2)图2中的1、2、3为组成DNA的三个小分子,分别是磷酸、腺嘌呤、脱氧核糖,4为由这三者构成的腺嘌呤脱氧核糖核苷酸。
(3)与另外一种核酸(RNA)相比,DNA中特有的碱基是胸腺嘧啶。
(1)胞嘧啶脱氧核糖核苷酸 脱氧核糖核酸(DNA)
(2)腺嘌呤 脱氧核糖 腺嘌呤脱氧核糖核苷酸
(3)胸腺嘧啶
【解析】
(1)图1中的碱基为胞嘧啶,五碳糖为脱氧核糖,所以该化合物为胞嘧啶脱氧核糖核苷酸,是组成DNA的基本单位。
(2)图2中的1、2、3为组成DNA的三个小分子,分别是磷酸、腺嘌呤、脱氧核糖,4为由这三者构成的腺嘌呤脱氧核糖核苷酸。
(3)与另外一种核酸(RNA)相比,DNA中特有的碱基是胸腺嘧啶。
11. 人类基因组计划的实施对人类了解自身的奥秘具有不可估量的意义,而其前提是对核酸分子结构的认识。下图表示细胞内与核酸有关的物质或结构。据图回答下列问题。

(1) 细胞内的核酸包括两类:一类是________________,简称 DNA;另一类是__________,简称__________。两者除在含氮碱基上有所区别外,还有_。
(2) e 和 f 的关系是
(3) f 被彻底水解后的产物是
(1) 细胞内的核酸包括两类:一类是________________,简称 DNA;另一类是__________,简称__________。两者除在含氮碱基上有所区别外,还有_。
(2) e 和 f 的关系是
e是f的基本组成单位
。(3) f 被彻底水解后的产物是
b、c、d
(用字母表示),元素 a 包括C、H、O、N、P
。
答案:
11.
(1)脱氧核糖核酸 核糖核酸 RNA DNA中含有脱氧核糖,而RNA中含有核糖(或在所含五碳糖上的区别)
(2)e是f的基本组成单位
(3)b、c、d C、H、O、N、P
(1)脱氧核糖核酸 核糖核酸 RNA DNA中含有脱氧核糖,而RNA中含有核糖(或在所含五碳糖上的区别)
(2)e是f的基本组成单位
(3)b、c、d C、H、O、N、P
下图表示细胞内某些有机物的元素组成和功能,其中 A、B 代表元素,Ⅰ、Ⅱ、Ⅲ、Ⅳ是生物大分子,图中 X、Y、Z、P 分别为构成生物大分子的基本单位。请回答下列问题。

(1) 生物大分子以
(2) A 表示的元素有
(3) 从 P 的角度分析Ⅳ结构多样性的原因是_。
(1) 生物大分子以
碳链
为骨架,它们的基本单位都被称为单体,其中 X 被形容为“生命的燃料”,它是葡萄糖
;Ⅰ在小麦种子中主要是指淀粉
。(2) A 表示的元素有
N、P
;Y 和 Z 在组成成分上的区别是 Z 特有的成分是尿嘧啶
和核糖
(填名称);细胞中含有碱基 A、C 和 T 的核苷酸有5
种。(3) 从 P 的角度分析Ⅳ结构多样性的原因是_。
答案:
能力提升
(1)碳链 葡萄糖 淀粉
(2)N、P 尿嘧啶 核糖 5
(3)氨基酸(P)的种类、数目、排列顺序不同
【解析】
(2)C、H、O元素和A组成DNA和RNA,而DNA和RNA由C、H、O、N、P五种元素组成,故A表示的元素有N、P。Y是脱氧核苷酸,Z是核糖核苷酸,二者在组成成分上的区别:核糖核苷酸特有的成分是核糖和尿嘧啶。细胞中既有DNA也有RNA,故细胞中含有碱基A、C和T的核苷酸有5种。
(3)Ⅳ表示蛋白质,则P代表氨基酸。组成蛋白质的氨基酸的种类、数目、排列顺序不同,导致蛋白质的结构多样性。
(1)碳链 葡萄糖 淀粉
(2)N、P 尿嘧啶 核糖 5
(3)氨基酸(P)的种类、数目、排列顺序不同
【解析】
(2)C、H、O元素和A组成DNA和RNA,而DNA和RNA由C、H、O、N、P五种元素组成,故A表示的元素有N、P。Y是脱氧核苷酸,Z是核糖核苷酸,二者在组成成分上的区别:核糖核苷酸特有的成分是核糖和尿嘧啶。细胞中既有DNA也有RNA,故细胞中含有碱基A、C和T的核苷酸有5种。
(3)Ⅳ表示蛋白质,则P代表氨基酸。组成蛋白质的氨基酸的种类、数目、排列顺序不同,导致蛋白质的结构多样性。
查看更多完整答案,请扫码查看