2025年人教金学典同步练习册同步解析与测评高中生物必修第一册人教版
注:目前有些书本章节名称可能整理的还不是很完善,但都是按照顺序排列的,请同学们按照顺序仔细查找。练习册 2025年人教金学典同步练习册同步解析与测评高中生物必修第一册人教版 答案主要是用来给同学们做完题方便对答案用的,请勿直接抄袭。
第30页
- 第1页
- 第2页
- 第3页
- 第4页
- 第5页
- 第6页
- 第7页
- 第8页
- 第9页
- 第10页
- 第11页
- 第12页
- 第13页
- 第14页
- 第15页
- 第16页
- 第17页
- 第18页
- 第19页
- 第20页
- 第21页
- 第22页
- 第23页
- 第24页
- 第25页
- 第26页
- 第27页
- 第28页
- 第29页
- 第30页
- 第31页
- 第32页
- 第33页
- 第34页
- 第35页
- 第36页
- 第37页
- 第38页
- 第39页
- 第40页
- 第41页
- 第42页
- 第43页
- 第44页
- 第45页
- 第46页
- 第47页
- 第48页
- 第49页
- 第50页
- 第51页
- 第52页
- 第53页
- 第54页
- 第55页
- 第56页
- 第57页
- 第58页
- 第59页
- 第60页
- 第61页
- 第62页
- 第63页
- 第64页
- 第65页
- 第66页
- 第67页
- 第68页
- 第69页
- 第70页
- 第71页
- 第72页
- 第73页
- 第74页
- 第75页
- 第76页
- 第77页
- 第78页
- 第79页
- 第80页
- 第81页
- 第82页
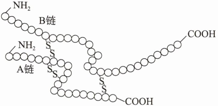
胰岛素是目前已知的机体内唯一可降低血糖的激素,同时可促进糖原、脂肪和蛋白质的合成,人胰岛素的结构如图所示。

(1)由图可知,人胰岛素中一定含有的元素是______,一分子胰岛素中含有______个肽键。
(2)假设组成该蛋白质的氨基酸的平均相对分子质量为a,每形成一个二硫键(—S—S—)要脱去两个H,则该蛋白质的相对分子质量为
(3)“胰岛素是目前已知的机体内唯一可降低血糖的激素,同时可促进糖原、脂肪和蛋白质的合成”,说明了蛋白质具有______的功能。
(4)外源性胰岛素主要用于糖尿病的治疗,在使用外源性胰岛素时应______(填“口服”或“皮下注射”),原因是______。
(1)由图可知,人胰岛素中一定含有的元素是______,一分子胰岛素中含有______个肽键。
(2)假设组成该蛋白质的氨基酸的平均相对分子质量为a,每形成一个二硫键(—S—S—)要脱去两个H,则该蛋白质的相对分子质量为
51a - 888
。(3)“胰岛素是目前已知的机体内唯一可降低血糖的激素,同时可促进糖原、脂肪和蛋白质的合成”,说明了蛋白质具有______的功能。
(4)外源性胰岛素主要用于糖尿病的治疗,在使用外源性胰岛素时应______(填“口服”或“皮下注射”),原因是______。
答案:
能力提升
(1)C、H、O、N、S 49
(2)51a - 888
(3)调节机体的生命活动
(4)皮下注射 胰岛素的化学本质为蛋白质,口服后会被人体消化而失去作用
[解析]分析题意和题图可知,每个胰岛素分子由两条肽链共51个氨基酸组成。两条肽链间以2个二硫键(—S—S—)相连,A链中也有一个二硫键。51个氨基酸形成胰岛素时,减少的相对分子质量等于脱去的水的相对分子质量加上形成二硫键时脱去的H的相对原子质量。
(1)由图可知,人胰岛素中一定含有C、H、O、N、S五种元素。图中A链中含有21个氨基酸,B链中含有30个氨基酸,因此该蛋白质含有49个肽键。
(2)假设组成该蛋白质的氨基酸的平均相对分子质量为a,每形成一个二硫键要脱去两个H,则该蛋白质的相对分子质量为51×a - 18×49 - 3×2 = 51a - 888。
(1)C、H、O、N、S 49
(2)51a - 888
(3)调节机体的生命活动
(4)皮下注射 胰岛素的化学本质为蛋白质,口服后会被人体消化而失去作用
[解析]分析题意和题图可知,每个胰岛素分子由两条肽链共51个氨基酸组成。两条肽链间以2个二硫键(—S—S—)相连,A链中也有一个二硫键。51个氨基酸形成胰岛素时,减少的相对分子质量等于脱去的水的相对分子质量加上形成二硫键时脱去的H的相对原子质量。
(1)由图可知,人胰岛素中一定含有C、H、O、N、S五种元素。图中A链中含有21个氨基酸,B链中含有30个氨基酸,因此该蛋白质含有49个肽键。
(2)假设组成该蛋白质的氨基酸的平均相对分子质量为a,每形成一个二硫键要脱去两个H,则该蛋白质的相对分子质量为51×a - 18×49 - 3×2 = 51a - 888。
查看更多完整答案,请扫码查看