第94页
- 第1页
- 第2页
- 第3页
- 第4页
- 第5页
- 第6页
- 第7页
- 第8页
- 第9页
- 第10页
- 第11页
- 第12页
- 第13页
- 第14页
- 第15页
- 第16页
- 第17页
- 第18页
- 第19页
- 第20页
- 第21页
- 第22页
- 第23页
- 第24页
- 第25页
- 第26页
- 第27页
- 第28页
- 第29页
- 第30页
- 第31页
- 第32页
- 第33页
- 第34页
- 第35页
- 第36页
- 第37页
- 第38页
- 第39页
- 第40页
- 第41页
- 第42页
- 第43页
- 第44页
- 第45页
- 第46页
- 第47页
- 第48页
- 第49页
- 第50页
- 第51页
- 第52页
- 第53页
- 第54页
- 第55页
- 第56页
- 第57页
- 第58页
- 第59页
- 第60页
- 第61页
- 第62页
- 第63页
- 第64页
- 第65页
- 第66页
- 第67页
- 第68页
- 第69页
- 第70页
- 第71页
- 第72页
- 第73页
- 第74页
- 第75页
- 第76页
- 第77页
- 第78页
- 第79页
- 第80页
- 第81页
- 第82页
- 第83页
- 第84页
- 第85页
- 第86页
- 第87页
- 第88页
- 第89页
- 第90页
- 第91页
- 第92页
- 第93页
- 第94页
- 第95页
- 第96页
- 第97页
- 第98页
- 第99页
测绘人员绘制地图时,需从飞机上向地面拍照,这种摄影方式叫作航空摄影。若所用长焦距相机的镜头焦距为 300 mm,则所成清晰的像与镜头的距离(
A.等于 300 mm
B.略大于 300 mm
C.略小于 300 mm
D.因飞机飞得太高,故无法确定
B
)A.等于 300 mm
B.略大于 300 mm
C.略小于 300 mm
D.因飞机飞得太高,故无法确定
答案:
B
1. 在凸透镜成像规律的实验中,我们发现(
A.放大的像都是虚像
B.实像都是缩小的
C.倒立的像都是缩小的
D.缩小的像都是倒立的
D
)A.放大的像都是虚像
B.实像都是缩小的
C.倒立的像都是缩小的
D.缩小的像都是倒立的
答案:
D
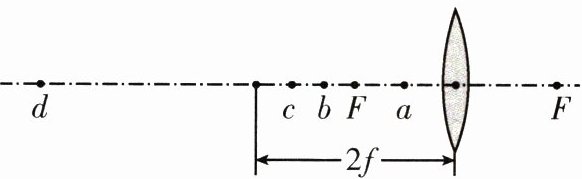
2. 在探究凸透镜成像的规律的实验中,若保持凸透镜的位置不变,先后把发光物体放在 $ a $、$ b $、$ c $、$ d $ 四个点,如图所示,分别调整光屏的位置,那么:

(1)把发光物体放在
(2)把发光物体放在
(3)把发光物体放在
(1)把发光物体放在
d
点时,光屏上出现的像最小;(2)把发光物体放在
b、c、d
点时,光屏上出现的像是倒立的;(3)把发光物体放在
a
点时,光屏上没有像。
答案:
(1)d (2)b、c、d (3)a
3. 探究凸透镜成像的规律的实验装置如图所示,其中焦距为 15.0 cm 的凸透镜固定在光具座的 50.0 cm 刻度线处,光屏和蜡烛分别位于凸透镜两侧。

(1)进行实验之前,应先将烛焰中心、透镜中心、光屏中心调整至
(2)保持凸透镜的位置不变,将点燃的蜡烛移至光具座的 10.0 cm 刻度线处,移动光屏,直到在光屏上成清晰的像,则该像是
(1)进行实验之前,应先将烛焰中心、透镜中心、光屏中心调整至
同一高度
,为使实验现象更明显,该实验应在较暗
(填“亮”或“暗”)的环境中进行。(2)保持凸透镜的位置不变,将点燃的蜡烛移至光具座的 10.0 cm 刻度线处,移动光屏,直到在光屏上成清晰的像,则该像是
缩小
(填“放大”“等大”或“缩小”)的实像。如果此时发现光屏上的像位置偏上,可向上
(填“向上”或“向下”)调整蜡烛高度,使像成在光屏正中央。
答案:
(1)同一高度 暗 (2)缩小 向上
查看更多完整答案,请扫码查看