第58页
- 第1页
- 第2页
- 第3页
- 第4页
- 第5页
- 第6页
- 第7页
- 第8页
- 第9页
- 第10页
- 第11页
- 第12页
- 第13页
- 第14页
- 第15页
- 第16页
- 第17页
- 第18页
- 第19页
- 第20页
- 第21页
- 第22页
- 第23页
- 第24页
- 第25页
- 第26页
- 第27页
- 第28页
- 第29页
- 第30页
- 第31页
- 第32页
- 第33页
- 第34页
- 第35页
- 第36页
- 第37页
- 第38页
- 第39页
- 第40页
- 第41页
- 第42页
- 第43页
- 第44页
- 第45页
- 第46页
- 第47页
- 第48页
- 第49页
- 第50页
- 第51页
- 第52页
- 第53页
- 第54页
- 第55页
- 第56页
- 第57页
- 第58页
- 第59页
- 第60页
- 第61页
- 第62页
- 第63页
- 第64页
- 第65页
- 第66页
- 第67页
- 第68页
- 第69页
- 第70页
- 第71页
- 第72页
- 第73页
- 第74页
- 第75页
- 第76页
- 第77页
- 第78页
- 第79页
- 第80页
- 第81页
- 第82页
- 第83页
- 第84页
- 第85页
- 第86页
- 第87页
- 第88页
- 第89页
- 第90页
- 第91页
- 第92页
- 第93页
- 第94页
- 第95页
- 第96页
- 第97页
- 第98页
- 第99页
- 第100页
- 第101页
六、阅读故事,完成练习。
秋 天
秋天到了,天气凉了。树叶变黄了,一片一片的树叶从树枝上飘落下来。
树叶落在地面上,小虫爬过来,躲在里面,把它当屋子。
树叶落在水沟里,蚂蚁爬上来,坐在当中,把它当作船。
树叶落在小河里,小鱼游过来,藏在底下,把它当作伞。
树叶落在院子里,燕子飞来看见了,低声说:“电报来了,电报来了,催我们到南方去呢!”
树叶落在大路上,小朋友把它当足球,一脚一脚踢起来,树叶翻飞,真好玩。
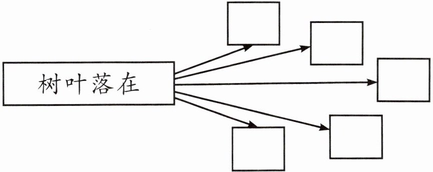
1. 树叶飘落下来,到了哪些地方?梳理故事内容,完成思维导图。(填序号)
①大路 ②水沟 ③池塘 ④院子 ⑤小河 ⑥地面

2. 读了故事,我知道秋天到了,天气 ,树叶会 ,燕子会 过冬。
3. 树叶从树上落下来,小动物和小朋友会怎么跟树叶玩呢?(填序号)
①当电报,催去南方 ②当足球,踢起来 ③躲里面,当屋子 ④坐当中,当小船 ⑤藏底下,当作伞
小虫 ,蚂蚁 ,小鱼 ,燕子 ,小朋友 。
4. 树叶还会落到哪里?会有谁跟它玩?玩什么呢?写一写。
树叶落在 , 。
树叶落在 , 。
5. 秋天还有许多美丽的景色,请仔细观察,把看到的写下来。
秋天到了,果园里 。
秋 天
秋天到了,天气凉了。树叶变黄了,一片一片的树叶从树枝上飘落下来。
树叶落在地面上,小虫爬过来,躲在里面,把它当屋子。
树叶落在水沟里,蚂蚁爬上来,坐在当中,把它当作船。
树叶落在小河里,小鱼游过来,藏在底下,把它当作伞。
树叶落在院子里,燕子飞来看见了,低声说:“电报来了,电报来了,催我们到南方去呢!”
树叶落在大路上,小朋友把它当足球,一脚一脚踢起来,树叶翻飞,真好玩。
1. 树叶飘落下来,到了哪些地方?梳理故事内容,完成思维导图。(填序号)
①大路 ②水沟 ③池塘 ④院子 ⑤小河 ⑥地面
2. 读了故事,我知道秋天到了,天气 ,树叶会 ,燕子会 过冬。
3. 树叶从树上落下来,小动物和小朋友会怎么跟树叶玩呢?(填序号)
①当电报,催去南方 ②当足球,踢起来 ③躲里面,当屋子 ④坐当中,当小船 ⑤藏底下,当作伞
小虫 ,蚂蚁 ,小鱼 ,燕子 ,小朋友 。
4. 树叶还会落到哪里?会有谁跟它玩?玩什么呢?写一写。
树叶落在 , 。
树叶落在 , 。
5. 秋天还有许多美丽的景色,请仔细观察,把看到的写下来。
秋天到了,果园里 。
答案:
1.⑥ ② ⑤ ④ ① 2.凉了 慢慢变黄掉下来 飞到南方去 3.③ ④ ⑤ ① ② 4.[示例一]树叶落在操场上,同学们捡起来,把它们拼成一幅幅美丽的树叶画。 [示例二]树叶落在池塘里,小蜻蜓停在上面,把它当作休息的椅子。 5.[示例]秋天到了,果园里的果子成熟了,有金黄的橘子,还有像小灯笼一样的柿子。
查看更多完整答案,请扫码查看