第35页
- 第1页
- 第2页
- 第3页
- 第4页
- 第5页
- 第6页
- 第7页
- 第8页
- 第9页
- 第10页
- 第11页
- 第12页
- 第13页
- 第14页
- 第15页
- 第16页
- 第17页
- 第18页
- 第19页
- 第20页
- 第21页
- 第22页
- 第23页
- 第24页
- 第25页
- 第26页
- 第27页
- 第28页
- 第29页
- 第30页
- 第31页
- 第32页
- 第33页
- 第34页
- 第35页
- 第36页
- 第37页
- 第38页
- 第39页
- 第40页
- 第41页
- 第42页
- 第43页
- 第44页
- 第45页
- 第46页
- 第47页
- 第48页
- 第49页
- 第50页
- 第51页
- 第52页
- 第53页
- 第54页
- 第55页
- 第56页
- 第57页
- 第58页
- 第59页
- 第60页
- 第61页
- 第62页
- 第63页
- 第64页
- 第65页
- 第66页
- 第67页
- 第68页
- 第69页
- 第70页
- 第71页
- 第72页
8. 近年来砂糖橘深受大众欢迎。砂糖橘皮薄易剥,果肉甜而不腻。砂糖橘的橘皮、果肉以及果肉外面的“筋络”分别属于( )
A.保护组织、薄壁组织、输导组织
B.上皮组织、薄壁组织、输导组织
C.上皮组织、输导组织、薄壁组织
D.保护组织、薄壁组织、结缔组织
A.保护组织、薄壁组织、输导组织
B.上皮组织、薄壁组织、输导组织
C.上皮组织、输导组织、薄壁组织
D.保护组织、薄壁组织、结缔组织
答案:
A 【提示】砂糖橘的橘皮起保护作用,属于保护组织;内部的果肉含有丰富的营养物质,属于薄壁组织;果肉外面的一条条白色丝络,属于输导组织。
9. 屠呦呦和她的团队研究出的青蒿素是治疗疟疾的有效药物。引发疟疾的疟原虫是一种单细胞生物。疟原虫不会进行的生命活动是( )
A.呼吸
B.消化
C.细胞分化
D.排出废物
A.呼吸
B.消化
C.细胞分化
D.排出废物
答案:
C 【提示】单细胞生物的整个身体由一个细胞构成,不能进行细胞分化。
10. 壁虎在受到攻击时,它的尾巴会自行折断,掉下来的断尾还会扭动,以吸引敌害的注意,壁虎则趁机逃脱。一段时间后壁虎的尾巴还能重新长出来。关于“断尾重生”的过程,下列说法正确的是( )
A.细胞先生长、分裂再分化
B.细胞先分化再分裂
C.只发生了细胞分裂和生长
D.只发生了细胞分化和生长
A.细胞先生长、分裂再分化
B.细胞先分化再分裂
C.只发生了细胞分裂和生长
D.只发生了细胞分化和生长
答案:
A
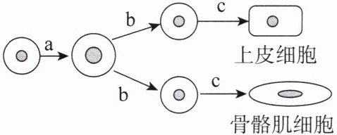
11. 下图表示某种动物细胞的生长、分裂与分化过程,下列叙述错误的是( )

A.细胞能从周围环境中吸收营养物质来持续进行过程 a
B.过程 b 表示细胞分裂,分裂的结果是细胞数量的增加
C.细胞经过过程 c 后形态、结构和功能出现了差异
D.上皮细胞和骨骼肌细胞中的染色体形态和数目均相同
A.细胞能从周围环境中吸收营养物质来持续进行过程 a
B.过程 b 表示细胞分裂,分裂的结果是细胞数量的增加
C.细胞经过过程 c 后形态、结构和功能出现了差异
D.上皮细胞和骨骼肌细胞中的染色体形态和数目均相同
答案:
A 【提示】题图中,a过程表示细胞生长、b过程表示细胞分裂,c过程表示细胞分化。细胞要从周围环境中吸收营养物质,并且将其转变成组成自身的物质,体积会由小变大,这就是a细胞生长的过程。但是细胞不能无限制地长大,一部分细胞长到一定的大小,就会进行分裂。
12. 下图为植物细胞分裂过程示意图,下列有关叙述不正确的是( )

A.动物细胞分裂时不会出现 c 所示情况
B.植物细胞的染色体由 DNA 和蛋白质组成
C.植物细胞分裂时会从中间缢裂
D.新细胞与原细胞所含的遗传物质是一样的
A.动物细胞分裂时不会出现 c 所示情况
B.植物细胞的染色体由 DNA 和蛋白质组成
C.植物细胞分裂时会从中间缢裂
D.新细胞与原细胞所含的遗传物质是一样的
答案:
C 【提示】细胞分裂就是一个细胞分成两个。分裂过程中,先是细胞核一分为二,随后细胞质分成两份,每份含一个细胞核。植物细胞在原来细胞的中央形成新的细胞膜和细胞壁,于是一个细胞就分裂成了两个细胞。
13. 下列生物体的结构与其对应的结构层次正确的是( )
A.血液—细胞
B.种子—组织
C.血管—器官
D.番茄—系统
A.血液—细胞
B.种子—组织
C.血管—器官
D.番茄—系统
答案:
C 【提示】血管是由不同的组织按照一定的次序组合在一起构成的行使一定功能的结构,属于器官。
查看更多完整答案,请扫码查看