第58页
- 第1页
- 第2页
- 第3页
- 第4页
- 第5页
- 第6页
- 第7页
- 第8页
- 第9页
- 第10页
- 第11页
- 第12页
- 第13页
- 第14页
- 第15页
- 第16页
- 第17页
- 第18页
- 第19页
- 第20页
- 第21页
- 第22页
- 第23页
- 第24页
- 第25页
- 第26页
- 第27页
- 第28页
- 第29页
- 第30页
- 第31页
- 第32页
- 第33页
- 第34页
- 第35页
- 第36页
- 第37页
- 第38页
- 第39页
- 第40页
- 第41页
- 第42页
- 第43页
- 第44页
- 第45页
- 第46页
- 第47页
- 第48页
- 第49页
- 第50页
- 第51页
- 第52页
- 第53页
- 第54页
- 第55页
- 第56页
- 第57页
- 第58页
- 第59页
- 第60页
- 第61页
- 第62页
- 第63页
- 第64页
- 第65页
- 第66页
- 第67页
- 第68页
- 第69页
- 第70页
- 第71页
- 第72页
- 第73页
- 第74页
1.


4
答案:
4
2. 算一算。
2+6+1=
4+4+2=
5+0+4=
10-6-2=
9-3-4=
8-1-7=
2+6+1=
9
4+4+2=
10
5+0+4=
9
10-6-2=
2
9-3-4=
2
8-1-7=
0
答案:
9 10 9 2 2 0
3. 连一连。

答案:
4. 先画一画,再数一数,还要( )块
才能铺满。

答案:
10
10
5. 在○里填上“+”或“-”。
8○
9○
5○
8○
8○
-
4○-
4= 09○
-
3○+
4= 105○
+
3○-
2= 68○
-
7○+
9= 10
答案:
- - - + + - - +
6. 新趋势 结构补充 先选择问题,再回答。

① 树下有多少个梨?
② 篮子里有多少个桃子?
我选的问题是(
① 树下有多少个梨?
② 篮子里有多少个桃子?
我选的问题是(
②
)。(填序号)10-6-2=2
(个)
答案:
② 10-6-2=2
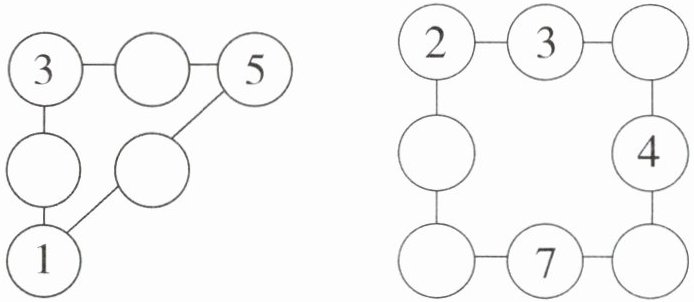
7.(名校期末真题)要使每条线上3个数的和都等于10,该怎样填呢?

链接"提优秘籍"P9例
链接"提优秘籍"P9例
答案:

提示:第一幅图:每条线上3个数的和都等于10,现在已经知道每条线上的2个数,可以用10分别减去已知的2个数,求出第3个数。第二幅图:现在知道上面的横行上的2个数,可以用10分别减去已知的2个数,求出第三个数,此时知道右边的竖行上的2个数,再用10减去这2个数……以此类推。
提示:第一幅图:每条线上3个数的和都等于10,现在已经知道每条线上的2个数,可以用10分别减去已知的2个数,求出第3个数。第二幅图:现在知道上面的横行上的2个数,可以用10分别减去已知的2个数,求出第三个数,此时知道右边的竖行上的2个数,再用10减去这2个数……以此类推。
8. 10个小朋友排成一队,从前往后数,小可排第4,从后往前数,小乐排第2,小可和小乐之间有(
4
)个小朋友。
答案:
4
提示:本题可以结合画图来理解,一共有10个小朋友,从前往后数,小可排第4,从后往前数,小乐排第2,所以小可和小乐之间有10-4-2=4(个)小朋友。
前 小可 小乐 后
○○○○△△△△○○
提示:本题可以结合画图来理解,一共有10个小朋友,从前往后数,小可排第4,从后往前数,小乐排第2,所以小可和小乐之间有10-4-2=4(个)小朋友。
前 小可 小乐 后
○○○○△△△△○○
查看更多完整答案,请扫码查看