第91页
- 第1页
- 第2页
- 第3页
- 第4页
- 第5页
- 第6页
- 第7页
- 第8页
- 第9页
- 第10页
- 第11页
- 第12页
- 第13页
- 第14页
- 第15页
- 第16页
- 第17页
- 第18页
- 第19页
- 第20页
- 第21页
- 第22页
- 第23页
- 第24页
- 第25页
- 第26页
- 第27页
- 第28页
- 第29页
- 第30页
- 第31页
- 第32页
- 第33页
- 第34页
- 第35页
- 第36页
- 第37页
- 第38页
- 第39页
- 第40页
- 第41页
- 第42页
- 第43页
- 第44页
- 第45页
- 第46页
- 第47页
- 第48页
- 第49页
- 第50页
- 第51页
- 第52页
- 第53页
- 第54页
- 第55页
- 第56页
- 第57页
- 第58页
- 第59页
- 第60页
- 第61页
- 第62页
- 第63页
- 第64页
- 第65页
- 第66页
- 第67页
- 第68页
- 第69页
- 第70页
- 第71页
- 第72页
- 第73页
- 第74页
- 第75页
- 第76页
- 第77页
- 第78页
- 第79页
- 第80页
- 第81页
- 第82页
- 第83页
- 第84页
- 第85页
- 第86页
- 第87页
- 第88页
- 第89页
- 第90页
- 第91页
- 第92页
- 第93页
- 第94页
- 第95页
- 第96页
- 第97页
- 第98页
- 第99页
- 第100页
- 第101页
- 第102页
- 第103页
- 第104页
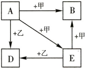
25.(4分)A、D是两种常见的固体,其中D为紫红色;B、E是两种常见的气体,其中气体E有毒。它们之间的关系如图所示。请回答下列问题。

(1)E的化学式为_______,甲的化学式为_______。
(2)写出A→D的化学方程式:_______。
(3)写出检验B的化学方程式:_______。
(1)E的化学式为_______,甲的化学式为_______。
(2)写出A→D的化学方程式:_______。
(3)写出检验B的化学方程式:_______。
答案:
(1)CO $O_{2}$
(2)$C + 2CuO\stackrel{高温}{=\!=\!=}2Cu + CO_{2}\uparrow$
(3)$CO_{2} + Ca(OH)_{2} = CaCO_{3}\downarrow + H_{2}O$
(1)CO $O_{2}$
(2)$C + 2CuO\stackrel{高温}{=\!=\!=}2Cu + CO_{2}\uparrow$
(3)$CO_{2} + Ca(OH)_{2} = CaCO_{3}\downarrow + H_{2}O$
26.(12分)在实验室常用以下装置制取气体。

(1)用高锰酸钾制氧气时,气体发生装置可选择_______(填字母),试管口放一团棉花的目的是_______,要收集一瓶干燥的氧气最好选择的收集装置是_______(填字母)。
(2)用装置B制二氧化碳,反应物是_______。长颈漏斗末端伸入液面以下的目的是_______;收集装置应选_______(填字母),其依据是二氧化碳的_______;要控制反应的发生和停止,应选择的发生装置是_______(填字母)。要得到平稳的气流,对B气体发生装置的改进方法是_______。
(3)若用G装置收集二氧化碳,气体应从_______(填“a”或“b”)端进入。
(4)若用如图装置检验CO₂的性质,则甲中的现象是_______。
(5)丙中蜡烛由下而上依次熄灭,说明二氧化碳具有_______的性质。

(1)用高锰酸钾制氧气时,气体发生装置可选择_______(填字母),试管口放一团棉花的目的是_______,要收集一瓶干燥的氧气最好选择的收集装置是_______(填字母)。
(2)用装置B制二氧化碳,反应物是_______。长颈漏斗末端伸入液面以下的目的是_______;收集装置应选_______(填字母),其依据是二氧化碳的_______;要控制反应的发生和停止,应选择的发生装置是_______(填字母)。要得到平稳的气流,对B气体发生装置的改进方法是_______。
(3)若用G装置收集二氧化碳,气体应从_______(填“a”或“b”)端进入。
(4)若用如图装置检验CO₂的性质,则甲中的现象是_______。
(5)丙中蜡烛由下而上依次熄灭,说明二氧化碳具有_______的性质。
答案:
(1)A 防止加热时高锰酸钾粉末进入导气管 C
(2)石灰石(或大理石)和稀盐酸 防止产生的$CO_{2}$从长颈漏斗中逸出 C 密度比空气大且能溶于水 F 将长颈漏斗换为分液漏斗(或注射器)
(3)a
(4)纸花由紫色变红色
(5)不燃烧,不支持燃烧,密度比空气大
(1)A 防止加热时高锰酸钾粉末进入导气管 C
(2)石灰石(或大理石)和稀盐酸 防止产生的$CO_{2}$从长颈漏斗中逸出 C 密度比空气大且能溶于水 F 将长颈漏斗换为分液漏斗(或注射器)
(3)a
(4)纸花由紫色变红色
(5)不燃烧,不支持燃烧,密度比空气大
查看更多完整答案,请扫码查看