第74页
- 第1页
- 第2页
- 第3页
- 第4页
- 第5页
- 第6页
- 第7页
- 第8页
- 第9页
- 第10页
- 第11页
- 第12页
- 第13页
- 第14页
- 第15页
- 第16页
- 第17页
- 第18页
- 第19页
- 第20页
- 第21页
- 第22页
- 第23页
- 第24页
- 第25页
- 第26页
- 第27页
- 第28页
- 第29页
- 第30页
- 第31页
- 第32页
- 第33页
- 第34页
- 第35页
- 第36页
- 第37页
- 第38页
- 第39页
- 第40页
- 第41页
- 第42页
- 第43页
- 第44页
- 第45页
- 第46页
- 第47页
- 第48页
- 第49页
- 第50页
- 第51页
- 第52页
- 第53页
- 第54页
- 第55页
- 第56页
- 第57页
- 第58页
- 第59页
- 第60页
- 第61页
- 第62页
- 第63页
- 第64页
- 第65页
- 第66页
- 第67页
- 第68页
- 第69页
- 第70页
- 第71页
- 第72页
- 第73页
- 第74页
- 第75页
- 第76页
- 第77页
- 第78页
- 第79页
- 第80页
- 第81页
- 第82页
- 第83页
- 第84页
- 第85页
- 第86页
- 第87页
- 第88页
- 第89页
- 第90页
- 第91页
- 第92页
- 第93页
- 第94页
- 第95页
- 第96页
- 第97页
- 第98页
- 第99页
- 第100页
- 第101页
- 第102页
- 第103页
- 第104页
5.(2020·青海)A、B、C、D、E是初中化学常见的五种物质,A是石灰石的主要成分,E是能与血红蛋白结合的有毒气体,“→”表示转化关系,部分反应条件未注明。回答下列问题。

(1)写出物质B的化学式________。
(2)C与D反应转化为A的化学方程式为______________________________。
(1)写出物质B的化学式________。
(2)C与D反应转化为A的化学方程式为______________________________。
答案:
(1)$CaO$
(2)$CO_{2}+Ca(OH)_{2}=CaCO_{3}\downarrow +H_{2}O$
(1)$CaO$
(2)$CO_{2}+Ca(OH)_{2}=CaCO_{3}\downarrow +H_{2}O$
6.A~E五种物质相互之间存在如图所示的转化关系(部分反应物、生成物及反应条件已省略)。“一”表示物质间可以发生化学反应,“→”表示物质间存在相应的转化关系。A性质不稳定,B、C是组成元素相同的两种液体,D、E是无色无味的气体,D是造成温室效应的主要气体。试推断:

(1)C→B反应的化学方程式是______________________________。
(2)图中①②③基本反应类型相同,都属于________反应。
(3)自然界中绿色植物通过________作用,将D转化为E。
(4)写出A→B + D反应的化学方程式______________________________。
(1)C→B反应的化学方程式是______________________________。
(2)图中①②③基本反应类型相同,都属于________反应。
(3)自然界中绿色植物通过________作用,将D转化为E。
(4)写出A→B + D反应的化学方程式______________________________。
答案:
(1)$2H_{2}O_{2}\xlongequal{MnO_{2}}2H_{2}O + O_{2}\uparrow$
(2)化合
(3)光合
(4)$H_{2}CO_{3}=H_{2}O + CO_{2}\uparrow$
(1)$2H_{2}O_{2}\xlongequal{MnO_{2}}2H_{2}O + O_{2}\uparrow$
(2)化合
(3)光合
(4)$H_{2}CO_{3}=H_{2}O + CO_{2}\uparrow$
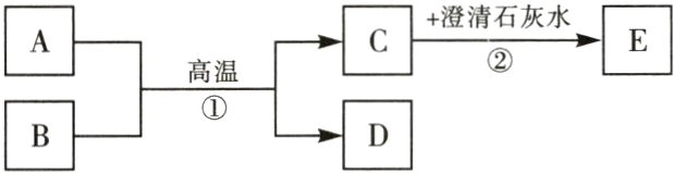
7.已知A、B为两种黑色粉末,其中B为单质;D为红色固体单质;E为白色难溶性固体。A、B、C、D、E五种物质之间的转化关系如下图所示。

(1)D的化学式为________。
(2)A中金属元素的化合价是________。
(3)反应①的化学方程式为______________________________。
(1)D的化学式为________。
(2)A中金属元素的化合价是________。
(3)反应①的化学方程式为______________________________。
答案:
(1)$Cu$
(2)$+2$
(3)$2CuO + C\xlongequal{高温}2Cu + CO_{2}\uparrow$
(1)$Cu$
(2)$+2$
(3)$2CuO + C\xlongequal{高温}2Cu + CO_{2}\uparrow$
8.如图A~E是中学化学常见的物质。已知A和E都可以做燃料,其中A是天然气的主要成分,请分析回答下列各题。

(1)反应①的化学方程式为______________________________。
(2)反应②中的产物B通常用________检验。
(3)E物质做燃料的优点是______________________________(答一条即可)。
(1)反应①的化学方程式为______________________________。
(2)反应②中的产物B通常用________检验。
(3)E物质做燃料的优点是______________________________(答一条即可)。
答案:
(1)$CH_{4}+2O_{2}\xlongequal{点燃}CO_{2}+2H_{2}O$
(2)带火星的木条
(3)燃烧只生成水,不污染空气(或热值大;制取氢气的原料水来源丰富)
(1)$CH_{4}+2O_{2}\xlongequal{点燃}CO_{2}+2H_{2}O$
(2)带火星的木条
(3)燃烧只生成水,不污染空气(或热值大;制取氢气的原料水来源丰富)
查看更多完整答案,请扫码查看