第33页
- 第1页
- 第2页
- 第3页
- 第4页
- 第5页
- 第6页
- 第7页
- 第8页
- 第9页
- 第10页
- 第11页
- 第12页
- 第13页
- 第14页
- 第15页
- 第16页
- 第17页
- 第18页
- 第19页
- 第20页
- 第21页
- 第22页
- 第23页
- 第24页
- 第25页
- 第26页
- 第27页
- 第28页
- 第29页
- 第30页
- 第31页
- 第32页
- 第33页
- 第34页
- 第35页
- 第36页
- 第37页
- 第38页
- 第39页
- 第40页
- 第41页
- 第42页
- 第43页
- 第44页
- 第45页
- 第46页
- 第47页
- 第48页
- 第49页
- 第50页
- 第51页
- 第52页
- 第53页
- 第54页
- 第55页
- 第56页
- 第57页
- 第58页
- 第59页
- 第60页
- 第61页
- 第62页
- 第63页
- 第64页
- 第65页
- 第66页
- 第67页
- 第68页
- 第69页
- 第70页
- 第71页
- 第72页
- 第73页
- 第74页
- 第75页
- 第76页
- 第77页
- 第78页
- 第79页
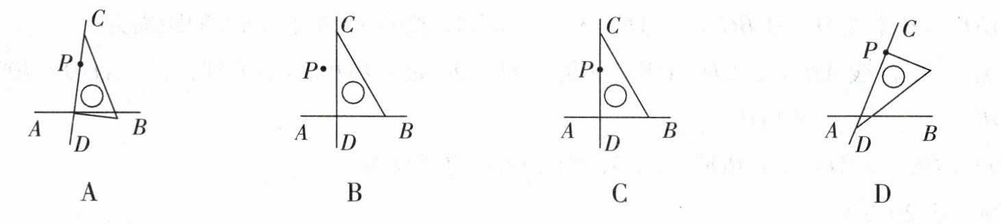
1. 过点P作AB的垂线CD,下列选项中,三角板的放法正确的是 ( )

答案:
C
2. 如图,已知AE⊥BD于点E,那么点A到直线BD的距离是 ( )
A. 线段AB的长 B. 线段AD的长 C. 线段ED的长 D. 线段AE的长

A. 线段AB的长 B. 线段AD的长 C. 线段ED的长 D. 线段AE的长
答案:
D
3. 如图,田地A的旁边有一条小河l,要想把小河里的水引到田地A处,为了省时省力需要作AB⊥l,垂足为B,沿AB挖水沟,则水沟最短,理由是 ( )

A. 点到直线的距离
B. 两点确定一条直线
C. 垂线段最短
D. 两点之间,线段最短
A. 点到直线的距离
B. 两点确定一条直线
C. 垂线段最短
D. 两点之间,线段最短
答案:
C
4. 如图,小红在进行立定跳远训练时,从点A起跳,落脚点为点B,从起跳点到落脚点之间的距离是2 m,则小红这次跳远的成绩可能是 ( )

A. 2.2 m
B. 2.1 m
C. 2 m
D. 1.9 m
A. 2.2 m
B. 2.1 m
C. 2 m
D. 1.9 m
答案:
D
5. 现有下列说法:①两点之间的所有连线中,线段最短;②在同一平面内,过一点有且只有一条直线与已知直线垂直;③直线外一点与直线上各点连接的所有线段中,垂线段最短;④直线外一点到这条直线的垂线段叫作点到直线的距离. 其中正确的个数有 ( )
A. 4个
B. 3个
C. 2个
D. 1个
A. 4个
B. 3个
C. 2个
D. 1个
答案:
B
6. 如图,若直线m,n交于点O,∠1 = 90°,则m与n的位置关系为______.

答案:
垂直
查看更多完整答案,请扫码查看