2025年聚能闯关期末复习冲刺卷八年级科学上册浙教版
注:目前有些书本章节名称可能整理的还不是很完善,但都是按照顺序排列的,请同学们按照顺序仔细查找。练习册 2025年聚能闯关期末复习冲刺卷八年级科学上册浙教版 答案主要是用来给同学们做完题方便对答案用的,请勿直接抄袭。
第51页
- 第1页
- 第2页
- 第3页
- 第4页
- 第5页
- 第6页
- 第7页
- 第8页
- 第9页
- 第10页
- 第11页
- 第12页
- 第13页
- 第14页
- 第15页
- 第16页
- 第17页
- 第18页
- 第19页
- 第20页
- 第21页
- 第22页
- 第23页
- 第24页
- 第25页
- 第26页
- 第27页
- 第28页
- 第29页
- 第30页
- 第31页
- 第32页
- 第33页
- 第34页
- 第35页
- 第36页
- 第37页
- 第38页
- 第39页
- 第40页
- 第41页
- 第42页
- 第43页
- 第44页
- 第45页
- 第46页
- 第47页
- 第48页
- 第49页
- 第50页
- 第51页
- 第52页
- 第53页
- 第54页
- 第55页
- 第56页
- 第57页
- 第58页
- 第59页
- 第60页
- 第61页
- 第62页
- 第63页
- 第64页
- 第65页
- 第66页
- 第67页
- 第68页
- 第69页
- 第70页
- 第71页
- 第72页
- 第73页
- 第74页
- 第75页
- 第76页
- 第77页
- 第78页
- 第79页
- 第80页
- 第81页
- 第82页
- 第83页
- 第84页
- 第85页
- 第86页
- 第87页
- 第88页
- 第89页
- 第90页
- 第91页
- 第92页
- 第93页
- 第94页
- 第95页
- 第96页
2. 如图甲,茶杯放在水平桌面上静止;如图乙,用手指向墙上按图钉;如图丙,木块静止在斜面上。请在图中分别画出茶杯对桌面、图钉尖对墙壁、木块对斜面的压力示意图。

答案:
2.
2.
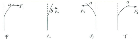
1. 在探究力的作用效果与什么因素有关的课题中,小明和同学们进行了如下实验,已知$F_{1}=F_{2}=F_{3}<F_{4}$。

(1)实验中,用力推钢尺,钢尺发生弯曲,说明
(2)由甲、乙两次实验可知,力的作用效果与力的
(3)由甲、丙两次实验可知,力的作用效果与力的
(4)由
(5)此次探究活动中用到的实验方法是
(1)实验中,用力推钢尺,钢尺发生弯曲,说明
力可以改变物体的形状
。(2)由甲、乙两次实验可知,力的作用效果与力的
作用点
有关。(3)由甲、丙两次实验可知,力的作用效果与力的
方向
有关。(4)由
甲
、丁
两次实验可知,力的作用效果与力的大小有关。(5)此次探究活动中用到的实验方法是
控制变量法
。
答案:
1.
(1)力可以改变物体的形状
(2)作用点
(3)方向
(4)甲 丁
(5)控制变量法
(1)力可以改变物体的形状
(2)作用点
(3)方向
(4)甲 丁
(5)控制变量法
2. 在“探究液体压强与哪些因素有关”的实验中:

(1)如图 a,用手指按压强计的橡皮膜,U 形管内水面出现高度差,这说明
(2)若在使用压强计前,发现 U 形管内水面已有高度差,如图 b,那么应该通过下列哪种方法进行调节?(
A. 向 U 形管内加适量水
B. 拆除软管重新安装
(3)如图 b 中压强计,金属盒上的橡皮膜应选用
(4)比较 c、d 实验可知,液体内部压强与橡皮膜中心在水下的
(5)利用上述探究结论,若图 f 中两烧杯分别装的是盐水和水,可以确定
(6)如图 g,为了使压强计的金属盒在同种液体、同一深度处时,U 形管内的液体高度差增大一点,U 形管应(
A. 改注酒精
B. 改注水银
C. 用内径更细的 U 形管
(1)如图 a,用手指按压强计的橡皮膜,U 形管内水面出现高度差,这说明
气密性好
。(2)若在使用压强计前,发现 U 形管内水面已有高度差,如图 b,那么应该通过下列哪种方法进行调节?(
B
)A. 向 U 形管内加适量水
B. 拆除软管重新安装
(3)如图 b 中压强计,金属盒上的橡皮膜应选用
薄
(选填“薄”或“厚”)的好些,压强计不是
(选填“是”或“不是”)连通器。(4)比较 c、d 实验可知,液体内部压强与橡皮膜中心在水下的
深度
有关;比较 d、e 实验可知,液体内部压强与液体的密度
有关。(5)利用上述探究结论,若图 f 中两烧杯分别装的是盐水和水,可以确定
①
(选填“①”或“②”)杯中装的是盐水。($\rho_{盐水}>\rho_{水}$)(6)如图 g,为了使压强计的金属盒在同种液体、同一深度处时,U 形管内的液体高度差增大一点,U 形管应(
A
)A. 改注酒精
B. 改注水银
C. 用内径更细的 U 形管
答案:
2.
(1)气密性好
(2)B
(3)薄 不是
(4)深度 密度
(5)①
(6)A
(1)气密性好
(2)B
(3)薄 不是
(4)深度 密度
(5)①
(6)A
查看更多完整答案,请扫码查看