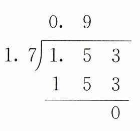
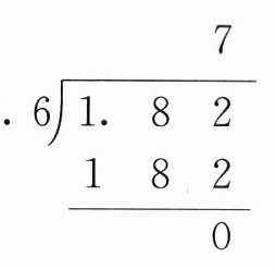
四、下面的计算正确吗?把错误的改正过来。(6分)
$\begin{array}{r}0.9\\1.7\enclose{longdiv}{1.53}\\153\\\hline0\end{array} $ 改正: $\begin{array}{r}7\\2.6\enclose{longdiv}{1.82}\\182\\\hline0\end{array} $ 改正:


( ) ( )
$\begin{array}{r}0.9\\1.7\enclose{longdiv}{1.53}\\153\\\hline0\end{array} $ 改正: $\begin{array}{r}7\\2.6\enclose{longdiv}{1.82}\\182\\\hline0\end{array} $ 改正:
( ) ( )
答案:
× 1.53÷1.7=0.9 × 1.82÷2.6=0.7
1. 一辆汽车平均每小时行驶$62.5$千米,$4.4$小时到达目的地;如果这辆汽车平均每小时行驶$75$千米,大约多少小时到达目的地?(得数保留一位小数)(5分)
答案:
62.5×4.4÷75≈3.7(小时)
2. 李大伯家去年收了$1200\ kg$花生,每千克花生可以榨油$0.38\ kg$。如果每个油桶最多能装油$4.5\ kg$,榨出的油至少需要多少个这样的油桶才能全部装完?(5分)
答案:
0.38×1200÷4.5≈102(个)
查看更多完整答案,请扫码查看