3. 计算器上的数字键$3$坏了,要计算$63×64$,下面算式不能得出正确得数的是( )。
A.$62×64+64$
B.$64×64-1$
C.$(48+15)×64$
D.$7×9×64$
A.$62×64+64$
B.$64×64-1$
C.$(48+15)×64$
D.$7×9×64$
答案:
B
4. 算式$25.07÷13$的商大约在下图中( )点的位置。

$A. A$ $B. B$ $C. C$ $D. D$
$A. A$ $B. B$ $C. C$ $D. D$
答案:
B
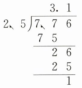
5. 如右图,小李列竖式计算$7.76÷2.5$的商,当商到$3.1余数为1$时,余数$1$表示( )。

A.$1$个一
B.$1$个十分之一
C.$1$个百分之一
D.$1$个千分之一
A.$1$个一
B.$1$个十分之一
C.$1$个百分之一
D.$1$个千分之一
答案:
C
1. 直接写出得数。(8分)
$5.74÷10= $ $4.2÷0.07= $ $0.16×4= $ $3.9÷1.3= $
$0.4÷0.8= $ $1.2×5= $ $0.64÷2= $ $0.56÷0.7= $
$5.74÷10= $ $4.2÷0.07= $ $0.16×4= $ $3.9÷1.3= $
$0.4÷0.8= $ $1.2×5= $ $0.64÷2= $ $0.56÷0.7= $
答案:
0.574 60 0.64 3 0.5 6 0.32 0.8
2. 列竖式计算。(12分)
$50.96÷6.5= $ $9.12÷3.8= $
$7÷2.2= $ (商用循环小数表示) $6.27÷3.5\approx$ (得数保留两位小数)
$50.96÷6.5= $ $9.12÷3.8= $
$7÷2.2= $ (商用循环小数表示) $6.27÷3.5\approx$ (得数保留两位小数)
答案:
7.84 2.4 3.$\dot{1}\dot{8}$ 1.79
3. 计算下面各题。(12分)
$3.09×3.9÷2.6$ $5.32-1.32÷4$
$69.6÷0.4÷2.5$ $60.8-36÷7.5$
$3.09×3.9÷2.6$ $5.32-1.32÷4$
$69.6÷0.4÷2.5$ $60.8-36÷7.5$
答案:
4.635 4.99 69.6 56
查看更多完整答案,请扫码查看