8. 下图表示某植物体内两种细胞的形成过程,下列叙述错误的是(

A.①表示细胞的生长
B.②表示细胞的分裂
C.③表示细胞的分化
D.①②③发生在植物体的任何部位
D
)A.①表示细胞的生长
B.②表示细胞的分裂
C.③表示细胞的分化
D.①②③发生在植物体的任何部位
答案:
D【提示】细胞的生长发生在幼嫩的芽和叶、发育的种子以及胚芽鞘等的尖端,细胞的分裂发生在植物体的根尖、茎尖、芽尖等的分生区。
9. 脐带血移植能有效治疗白血病,其关键在于脐带血中的造血干细胞能在患者体内(
A.运输有机物
B.不断生长
C.分化形成各种血细胞
D.制造营养
C
)A.运输有机物
B.不断生长
C.分化形成各种血细胞
D.制造营养
答案:
C【提示】在正常情况下,细胞分裂产生的新细胞在遗传物质的作用下,在生长发育过程中,其形态、结构和功能逐渐发生了不同的变化,这个过程称为细胞分化。细胞分化的结果是形成不同的组织。脐带血移植能有效治疗白血病,主要原因是移植的脐带血中的造血干细胞能在患者体内分化成各种血细胞。
10. 据《本草纲目》记载,槐米(槐的花)有解毒、明目等功效。下列与槐米属于同一个结构层次的是(
A.叶肉
B.皮肤
C.神经元
D.大熊猫
B
)A.叶肉
B.皮肤
C.神经元
D.大熊猫
答案:
B【提示】皮肤是人体最大的器官,与槐米属于同一结构层次。叶肉属于营养组织;神经元又叫神经细胞,属于细胞;大熊猫属于动物体。
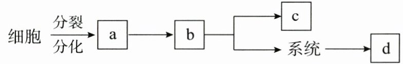
11. 下图表示多细胞生物体的结构层次,其中的a、b、c、d分别表示(

A.组织、器官、动物体、植物体
B.组织、器官、植物体、动物体
C.器官、组织、动物体、植物体
D.器官、组织、植物体、动物体
B
)A.组织、器官、动物体、植物体
B.组织、器官、植物体、动物体
C.器官、组织、动物体、植物体
D.器官、组织、植物体、动物体
答案:
B【提示】植物的结构层次为细胞→组织→器官→植物体,动物的结构层次为细胞→组织→器官→系统→动物体。
12. 取一个成熟的番茄果实,用开水烫一烫,撕下表皮,可以看到里面的果肉肥厚多汁。仔细观察,里面还有丝丝“筋络”。下列分析错误的是(
A.番茄果实属于器官
B.果肉细胞和表皮细胞所含遗传物质不同
C.“筋络”是输导组织
D.番茄植株比人体少了“系统”这一结构层次
B
)A.番茄果实属于器官
B.果肉细胞和表皮细胞所含遗传物质不同
C.“筋络”是输导组织
D.番茄植株比人体少了“系统”这一结构层次
答案:
B【提示】果肉细胞和表皮细胞都含有相同的遗传物质,这是因为它们都是由同一个受精卵经过细胞分裂和分化而产生的。
13. 鹿角蕨是一种蕨类植物,株型美观大方,叶片酷似鹿角,叶色素雅,观赏价值极高。下列关于鹿角蕨的叙述错误的是(
A.具有根、茎、叶的分化
B.具有输导组织
C.生活在阴暗潮湿的环境中
D.通过种子进行繁殖
D
)A.具有根、茎、叶的分化
B.具有输导组织
C.生活在阴暗潮湿的环境中
D.通过种子进行繁殖
答案:
D【提示】鹿角蕨属于蕨类植物,靠孢子繁殖后代。
14. 坡垒是国家一级重点保护野生植物,6~7月开花,果实呈卵圆形。据此判断坡垒属于(
A.苔藓植物
B.蕨类植物
C.被子植物
D.裸子植物
C
)A.苔藓植物
B.蕨类植物
C.被子植物
D.裸子植物
答案:
C【提示】被子植物具有根、茎、叶、花、果实和种子六大器官。坡垒能开花,果实呈卵圆形,属于被子植物。
15. 东北红豆杉是国家一级重点保护野生植物,其种子生于红色肉质杯状的假种皮中,无果皮结构。东北红豆杉在植物类群中属于(
A.被子植物
B.裸子植物
C.蕨类植物
D.苔藓植物
B
)A.被子植物
B.裸子植物
C.蕨类植物
D.苔藓植物
答案:
B【提示】东北红豆杉的种子裸露,没有果皮包被,属于裸子植物。
16. 光学显微镜是学习生物和研究生物体细微结构的一种重要仪器。请分析并回答下列与显微镜构造和使用相关的问题。


(1)上表列出了三台显微镜不同的镜头组合。为了方便寻找某一目标细胞,需要尽可能观察到更大的标本范围,这时应选用显微镜
(2)若使用显微镜时视野光线较强,比较刺眼,则可以调整遮光器,使用较
(3)要将上图所示视野中的细胞移至中央,应向
(1)上表列出了三台显微镜不同的镜头组合。为了方便寻找某一目标细胞,需要尽可能观察到更大的标本范围,这时应选用显微镜
B
(填代号),放大倍数为100
倍。(2)若使用显微镜时视野光线较强,比较刺眼,则可以调整遮光器,使用较
小
的光圈和调节反光镜,使用其平
面。(3)要将上图所示视野中的细胞移至中央,应向
左
移动装片;要使观察到的细胞更加清晰,应调节细准焦螺旋
。
答案:
(1) B 100
(2) 小 平
(3)左 细准焦螺旋
(1) B 100
(2) 小 平
(3)左 细准焦螺旋
查看更多完整答案,请扫码查看