9. 科学家成功克隆了五只猕猴,这五只猕猴都是通过克隆一只生物节律紊乱的公猴的体细胞而获得的,它们都表现出了生物节律紊乱。推测这只公猴提供的细胞结构为(
A.细胞膜
B.细胞质
C.细胞壁
D.细胞核
D
)A.细胞膜
B.细胞质
C.细胞壁
D.细胞核
答案:
D 【提示】细胞核控制着生物的发育和遗传。因此,在克隆动物的过程中,谁提供了细胞核,克隆出来的生物就像谁。
10. 线粒体是细胞的“动力车间”,它能氧化分解有机物,释放能量。研究发现,不同生物细胞含有的线粒体数目不一样。请推测,下列人体细胞中含有线粒体最多的是(
A.脂肪细胞
B.腹肌细胞
C.皮肤细胞
D.心肌细胞
D
)A.脂肪细胞
B.腹肌细胞
C.皮肤细胞
D.心肌细胞
答案:
D 【提示】线粒体能分解有机物,释放能量供细胞生命活动利用。脂肪细胞、腹肌细胞和皮肤细胞的代谢活动较弱,耗能少,线粒体含量少;心肌细胞通过收缩和舒张维持人体生命活动,这一过程伴随着大量连续的能量消耗,因此线粒体含量较多。
11. 植物细胞分裂的顺序是(
①细胞质随之分成两份,每份各含有一个细胞核
②细胞核由一个分成两个,分别移向细胞两极
③在原来细胞的中央形成新的细胞膜和细胞壁
A.①②③
B.②①③
C.③①②
D.②③①
D
)①细胞质随之分成两份,每份各含有一个细胞核
②细胞核由一个分成两个,分别移向细胞两极
③在原来细胞的中央形成新的细胞膜和细胞壁
A.①②③
B.②①③
C.③①②
D.②③①
答案:
D 【提示】植物细胞在分裂过程中,细胞核由一个分成两个,分别移向细胞两极,在原来细胞的中部形成新的细胞膜和细胞壁,细胞质随之分成两份,每份各含有一个细胞核,一个细胞分裂成两个细胞。
12. 右图是细胞发生的一系列变化过程示意图,下列有关分析不正确的是(

A.过程①表示细胞分裂
B.过程①使染色体数目减半
C.过程②表示细胞分化
D.A细胞能接受刺激,产生并传导冲动
B
)A.过程①表示细胞分裂
B.过程①使染色体数目减半
C.过程②表示细胞分化
D.A细胞能接受刺激,产生并传导冲动
答案:
B 【提示】题图中的过程①为细胞分裂。在细胞分裂过程中,染色体先复制后平分,新细胞与原细胞的染色体形态和数目相同。
13. 毛竹地下茎上的芽能长成竹笋,与此过程相关的主要组织是(
A.分生组织
B.保护组织
C.营养组织
D.输导组织
A
)A.分生组织
B.保护组织
C.营养组织
D.输导组织
答案:
A 【提示】分生组织具有很强的分裂能力,能通过细胞的分裂和分化形成其他组织。
14. “杜鹃花与鸟,怨艳两何赊。疑是口中血,滴成枝上花。”下列关于诗中的两种生物的描述错误的是(
A.都由受精卵发育而来
B.体内都能进行细胞分裂、分化
C.杜鹃的花属于繁殖器官
D.体内有营养功能的都是营养组织
D
)A.都由受精卵发育而来
B.体内都能进行细胞分裂、分化
C.杜鹃的花属于繁殖器官
D.体内有营养功能的都是营养组织
答案:
D 【提示】植物中有营养功能的是营养组织,动物中有营养功能的是结缔组织。
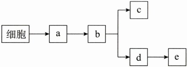
15. 下图表示多细胞生物体的结构层次,下列有关叙述不正确的是(

A.人口腔上皮在结构层次上属于a
B.根、茎、叶在结构层次上属于b
C.人的大脑、脊髓在结构层次上属于b
D.一棵苹果树的结构层次可表示为细胞→a→b→d→e
D
)A.人口腔上皮在结构层次上属于a
B.根、茎、叶在结构层次上属于b
C.人的大脑、脊髓在结构层次上属于b
D.一棵苹果树的结构层次可表示为细胞→a→b→d→e
答案:
D 【提示】题图中,a是组织,b是器官,c是植物体,d是系统,e是动物体。植物体的结构层次由小到大依次是细胞、组织、器官、植物体,则一棵苹果树的结构层次应为细胞→a→b→c。
16. 细胞是生物体结构和功能的基本单位,借助显微镜能让我们认识动植物细胞。下页表是观察细胞的两个实验及步骤,请据表回答问题。

(1)实验步骤①中滴加的液体分别是:a
(2)实验步骤④的正确操作是
(3)实验步骤⑤所用的染色剂是

(4)与洋葱鳞片叶表皮细胞相比,人口腔上皮细胞不含有的结构是
(1)实验步骤①中滴加的液体分别是:a
清水
,b生理盐水
。(2)实验步骤④的正确操作是
A
(填序号)。(3)实验步骤⑤所用的染色剂是
碘液
。染色的方法是在盖玻片的一侧滴一滴染色剂,用吸水纸
从盖玻片的另一侧吸引,重复2~3次,使染色剂浸润全部标本。(4)与洋葱鳞片叶表皮细胞相比,人口腔上皮细胞不含有的结构是
细胞壁
和液泡。
答案:
(1)清水 生理盐水
(2)A
(3)碘液 吸水纸
(4)细胞壁
(1)清水 生理盐水
(2)A
(3)碘液 吸水纸
(4)细胞壁
查看更多完整答案,请扫码查看