第3页
- 第1页
- 第2页
- 第3页
- 第4页
- 第5页
- 第6页
- 第7页
- 第8页
- 第9页
- 第10页
- 第11页
- 第12页
- 第13页
- 第14页
- 第15页
- 第16页
- 第17页
- 第18页
- 第19页
- 第20页
- 第21页
- 第22页
- 第23页
- 第24页
- 第25页
- 第26页
- 第27页
- 第28页
- 第29页
- 第30页
- 第31页
- 第32页
- 第33页
- 第34页
- 第35页
- 第36页
- 第37页
- 第38页
- 第39页
- 第40页
- 第41页
- 第42页
- 第43页
- 第44页
- 第45页
- 第46页
- 第47页
- 第48页
- 第49页
- 第50页
- 第51页
- 第52页
- 第53页
- 第54页
- 第55页
- 第56页
- 第57页
- 第58页
- 第59页
- 第60页
- 第61页
- 第62页
- 第63页
- 第64页
- 第65页
- 第66页
- 第67页
- 第68页
1. 先涂一涂,再算一算。

$\frac{1}{3} × \frac{1}{4} = $

$\frac{5}{6} × \frac{1}{3} = $
$\frac{1}{3} × \frac{1}{4} = $
$\frac{5}{6} × \frac{1}{3} = $
答案:
$\frac{1}{12}$
$\frac{5}{18}$
2. 计算下面各题。
$\frac{3}{10} × \frac{3}{7} = $
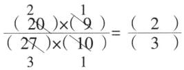
$\frac{20}{27} × \frac{9}{10} = $
$\frac{3}{10} × \frac{3}{7} = $
$\frac{20}{27} × \frac{9}{10} = $
答案:
$\frac{(3)}{(10)}×\frac{(3)}{(7)}=\frac{(9)}{(70)}$$\frac{(20)}{(27)}×\frac{(9)}{(10)}=\frac{(2)}{(3)}$
$\frac{(3)}{(10)}×\frac{(3)}{(7)}=\frac{(9)}{(70)}$$\frac{(20)}{(27)}×\frac{(9)}{(10)}=\frac{(2)}{(3)}$
3. 列式计算。
(1)$\frac{3}{4}吨的\frac{2}{3}$是多少吨?
(2)$\frac{3}{4}$kg 的 4 倍是多少千克?
(1)$\frac{3}{4}吨的\frac{2}{3}$是多少吨?
(2)$\frac{3}{4}$kg 的 4 倍是多少千克?
答案:
(1)$\frac{3}{4}×\frac{2}{3}=\frac{1}{2}$(吨)
(2)$\frac{3}{4}×4=3$(kg)
(1)$\frac{3}{4}×\frac{2}{3}=\frac{1}{2}$(吨)
(2)$\frac{3}{4}×4=3$(kg)
4. 一个正方形的边长是$\frac{7}{8}$m,它的周长是多少米?面积是多少平方米?
答案:
周长:$\frac{7}{8}×4=\frac{7}{2}$(m) 面积:$\frac{7}{8}×\frac{7}{8}=\frac{49}{64}$($m^2$)
5. 一条浴巾长$\frac{8}{5}$m,宽是长的$\frac{1}{2}$,这条浴巾的宽是多少米?面积是多少平方米?
答案:
宽:$\frac{8}{5}×\frac{1}{2}=\frac{4}{5}$(m) 面积:$\frac{8}{5}×\frac{4}{5}=\frac{32}{25}$($m^2$)
6. 六(1)班、六(2)班同学在学校实验田里锄草,每班负责一半,六(1)班完成了任务的$\frac{3}{4}$,六(2)班完成了任务的$\frac{4}{5}$。两班各锄了这块实验田的几分之几?
答案:
六
(1)班:$\frac{1}{2}×\frac{3}{4}=\frac{3}{8}$六
(2)班:$\frac{1}{2}×\frac{4}{5}=\frac{2}{5}$
(1)班:$\frac{1}{2}×\frac{3}{4}=\frac{3}{8}$六
(2)班:$\frac{1}{2}×\frac{4}{5}=\frac{2}{5}$
7. 张叔叔从甲城坐火车到乙城。火车行了全程的一半时,他睡着了,他醒来时看了看路标,发现剩下的路程是他睡着前火车所行路程的$\frac{1}{3}$。想一想,这时火车行了全程的几分之几?
答案:
$1-\frac{1}{2}×\frac{1}{3}=\frac{5}{6}$
查看更多完整答案,请扫码查看