2025年初中升高中衔接读本化学
注:目前有些书本章节名称可能整理的还不是很完善,但都是按照顺序排列的,请同学们按照顺序仔细查找。练习册 2025年初中升高中衔接读本化学 答案主要是用来给同学们做完题方便对答案用的,请勿直接抄袭。
第46页
- 第1页
- 第2页
- 第3页
- 第4页
- 第5页
- 第6页
- 第7页
- 第8页
- 第9页
- 第10页
- 第11页
- 第12页
- 第13页
- 第14页
- 第15页
- 第16页
- 第17页
- 第18页
- 第19页
- 第20页
- 第21页
- 第22页
- 第23页
- 第24页
- 第25页
- 第26页
- 第27页
- 第28页
- 第29页
- 第30页
- 第31页
- 第32页
- 第33页
- 第34页
- 第35页
- 第36页
- 第37页
- 第38页
- 第39页
- 第40页
- 第41页
- 第42页
- 第43页
- 第44页
- 第45页
- 第46页
- 第47页
- 第48页
- 第49页
- 第50页
- 第51页
- 第52页
- 第53页
- 第54页
- 第55页
- 第56页
- 第57页
- 第58页
- 第59页
- 第60页
- 第61页
- 第62页
- 第63页
- 第64页
- 第65页
- 第66页
- 第67页
- 第68页
- 第69页
- 第70页
- 第71页
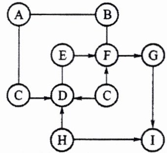
例1 (南京中考)下图中A~I是初中化学常见的物质,且分别是由H、C、O、Na、Al、S、Ca、Cu、Ag中的一种或几种元素组成的。在通常情况下,D与其他物质的状态不同,D、G、H、I均为单质,其中G为紫红色固体,H在空气中表面生成一层致密的氧化膜,具有很好的抗腐蚀性能;B可用来改良酸性土壤;A、F均为由三种元素组成的盐。图中“—”表示两端的物质间能发生化学反应,“→”表示物质间存在转化关系;部分反应物、生成物及反应条件已略去。

(1)写出化学式:G___。
(2)写出A与C反应的化学方程式:___;写出D与E反应的化学方程式:___;写出H→I反应的化学方程式:___。
【分析】 根据“H在空气中表面生成一层致密的氧化膜,具有很好的抗腐蚀性能”,则推测H为铝;根据“G为紫红色固体”,则推测G为铜;根据“B可用来改良酸性土壤”,则推测B为氢氧化钙;根据“A、F均为由三种元素组成的盐”,结合图框,则推测A、F分别为碳酸钠、硫酸铜;根据“在通常情况下,D与其他物质的状态不同,D、G、H、I均为单质”、“图中A~I是初中化学常见的物质,且分别是由H、C、O、Na、Al、S、Ca、Cu、Ag中的一种或几种元素组成的”,则推测C可能为稀硫酸、D为氢气、E为氧化铜、I为银。代入检验,符合题意。
【解答】 (1)Cu (2)Na_2CO_3+H_2SO_4= Na_2SO_4+H_2O+CO_2↑ CuO+H_2$\xlongequal{\triangle}$Cu+H_2O Al+3AgNO_3= Al(NO_3)_3+3Ag
(1)写出化学式:G___。
(2)写出A与C反应的化学方程式:___;写出D与E反应的化学方程式:___;写出H→I反应的化学方程式:___。
【分析】 根据“H在空气中表面生成一层致密的氧化膜,具有很好的抗腐蚀性能”,则推测H为铝;根据“G为紫红色固体”,则推测G为铜;根据“B可用来改良酸性土壤”,则推测B为氢氧化钙;根据“A、F均为由三种元素组成的盐”,结合图框,则推测A、F分别为碳酸钠、硫酸铜;根据“在通常情况下,D与其他物质的状态不同,D、G、H、I均为单质”、“图中A~I是初中化学常见的物质,且分别是由H、C、O、Na、Al、S、Ca、Cu、Ag中的一种或几种元素组成的”,则推测C可能为稀硫酸、D为氢气、E为氧化铜、I为银。代入检验,符合题意。
【解答】 (1)Cu (2)Na_2CO_3+H_2SO_4= Na_2SO_4+H_2O+CO_2↑ CuO+H_2$\xlongequal{\triangle}$Cu+H_2O Al+3AgNO_3= Al(NO_3)_3+3Ag
答案:
【解析】:
(1)G为紫红色固体单质,初中化学中紫红色固体单质只有铜($Cu$),所以G是铜,其化学式为$Cu$。
(2)因为B可用来改良酸性土壤,所以B是氢氧化钙$Ca(OH)_2$;A、F均为由三种元素组成的盐,结合所给元素及物质间的反应关系,A可能是碳酸钠$Na_2CO_3$,C能与A反应且能与D相互转化,D为单质且与其他物质状态不同,推测C为稀硫酸$H_2SO_4$,D为氢气$H_2$。A与C反应的化学方程式为$Na_2CO_3 + H_2SO_4 = Na_2SO_4 + H_2O + CO_2\uparrow$。
D为氢气,E能转化为F,F又能转化为G(铜),推测E为氧化铜$CuO$,D(氢气)与E(氧化铜)反应的化学方程式为$CuO + H_2\xlongequal{\triangle}Cu + H_2O$。
H在空气中表面生成一层致密的氧化膜,具有很好的抗腐蚀性能,所以H为铝$Al$,I为单质且由H转化而来,推测I为银$Ag$,H→I反应的化学方程式为$Al + 3AgNO_3 = Al(NO_3)_3 + 3Ag$。
【答案】:
(1)$Cu$
(2)$Na_2CO_3 + H_2SO_4 = Na_2SO_4 + H_2O + CO_2\uparrow$;$CuO + H_2\xlongequal{\triangle}Cu + H_2O$;$Al + 3AgNO_3 = Al(NO_3)_3 + 3Ag$
(1)G为紫红色固体单质,初中化学中紫红色固体单质只有铜($Cu$),所以G是铜,其化学式为$Cu$。
(2)因为B可用来改良酸性土壤,所以B是氢氧化钙$Ca(OH)_2$;A、F均为由三种元素组成的盐,结合所给元素及物质间的反应关系,A可能是碳酸钠$Na_2CO_3$,C能与A反应且能与D相互转化,D为单质且与其他物质状态不同,推测C为稀硫酸$H_2SO_4$,D为氢气$H_2$。A与C反应的化学方程式为$Na_2CO_3 + H_2SO_4 = Na_2SO_4 + H_2O + CO_2\uparrow$。
D为氢气,E能转化为F,F又能转化为G(铜),推测E为氧化铜$CuO$,D(氢气)与E(氧化铜)反应的化学方程式为$CuO + H_2\xlongequal{\triangle}Cu + H_2O$。
H在空气中表面生成一层致密的氧化膜,具有很好的抗腐蚀性能,所以H为铝$Al$,I为单质且由H转化而来,推测I为银$Ag$,H→I反应的化学方程式为$Al + 3AgNO_3 = Al(NO_3)_3 + 3Ag$。
【答案】:
(1)$Cu$
(2)$Na_2CO_3 + H_2SO_4 = Na_2SO_4 + H_2O + CO_2\uparrow$;$CuO + H_2\xlongequal{\triangle}Cu + H_2O$;$Al + 3AgNO_3 = Al(NO_3)_3 + 3Ag$
查看更多完整答案,请扫码查看