1.(2025·高一下·福建福州阶段练习)下图所示动物精原细胞中有一对同源染色体,在减数分裂过程中,该对同源染色体发生了互换,结果形成了①~④所示的四个精细胞。这四个精细胞中,来自同一个次级精母细胞的是 (

A.①与④
B.③与④
C.①与②
D.②与④
A
)A.①与④
B.③与④
C.①与②
D.②与④
答案:
A [次级精母细胞在减数第二次分裂后期,同一染色体的姐妹染色单体分开成为两条染色体,分别进入两个不同的精细胞中,因此,来自同一个次级精母细胞的两个精细胞的染色体除交换部分片段外,其余相同。即①与④来自同一个次级精母细胞,②与③来自另一个次级精母细胞,即A正确。故选A。]
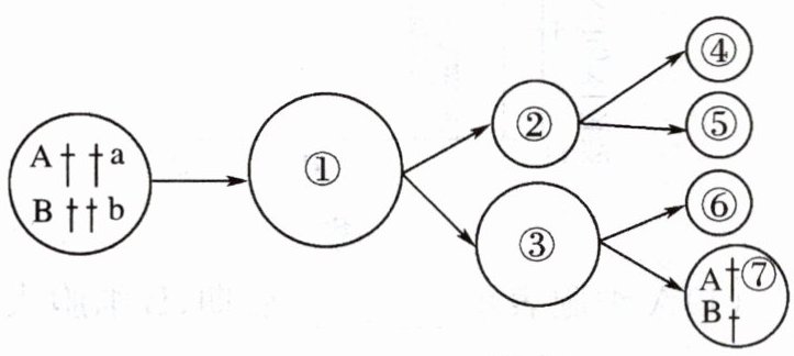
2.(2025·高一下·青海西宁阶段练习)下图为某哺乳动物减数分裂过程的示意图,其中①~⑦代表细胞。下列说法正确的是 (

A.①是初级卵母细胞,其染色体数:核DNA数= 2:1
B.②③中可发生非同源染色体上非等位基因的自由组合
C.④⑤⑥细胞中的染色体数目相同,基因型也相同
D.细胞②的基因型是aabb(不考虑互换)
D
)A.①是初级卵母细胞,其染色体数:核DNA数= 2:1
B.②③中可发生非同源染色体上非等位基因的自由组合
C.④⑤⑥细胞中的染色体数目相同,基因型也相同
D.细胞②的基因型是aabb(不考虑互换)
答案:
D [A.细胞①经过分裂形成的②、③两个细胞大小不等,说明②、③分别为极体和次级卵母细胞,①是初级卵母细胞,因在减数分裂前的间期已经完成DNA分子的复制,细胞①中的每条染色体含有2条姐妹染色单体,所以其染色体数:核DNA数=1:2,A错误;B.非同源染色体上非等位基因的自由组合发生在减数第一次分裂后期,即发生在细胞①中,②③依次为极体和次级卵母细胞,②③进行的是减数第二次分裂,B错误;C.由题图可知,某高等雌性哺乳动物的基因型为AaBb,⑦的基因组成为AB,④⑤是②经过减数第二次分裂形成的极体,⑥⑦分别是③经过减数第二次分裂形成的极体和卵细胞,据此可推知,④⑤的基因组成都是ab,⑥的基因组成为AB,因此④⑤⑥细胞中的染色体数目相同,但⑥的基因组成与④⑤的不相同,C错误;D.不考虑互换,结合对C选项的分析可推知,细胞②的基因型是aabb,D正确。故选D。]
3.(2025·高一上·湖北随州阶段练习)下图中编号①~⑤是某二倍体植物(2n= 24)的减数分裂不同时期的图像。下列叙述不正确的是 (

A.正常情况下,编号①②③图像的细胞中含有同源染色体
B.编号③图像的细胞中正在发生染色体的交换
C.图②中的细胞最多有48个DNA,24条染色体
D.细胞图像按减数分裂的顺序进行排序:①→③→②→⑤→④
C
)A.正常情况下,编号①②③图像的细胞中含有同源染色体
B.编号③图像的细胞中正在发生染色体的交换
C.图②中的细胞最多有48个DNA,24条染色体
D.细胞图像按减数分裂的顺序进行排序:①→③→②→⑤→④
答案:
C [A.题图中①细胞处于减数分裂Ⅰ前的间期;②细胞处于减数分裂Ⅰ后期(同源染色体分离,分布在细胞两极);③细胞处于减数分裂Ⅰ前期,这些细胞中都含有同源染色体,A正确;B.③细胞处于减数分裂Ⅰ前期,此时发生的是同源染色体两两配对,其中可能正在发生染色体的交换,B正确;C.②细胞处于减数分裂Ⅰ后期,其中发生的是同源染色体分离,非同源染色体自由组合,此时DNA已经完成了复制,细胞核中含有48个DNA,24条染色体,但细胞质中也有少量的DNA,因此图②中的细胞DNA数大于48个,C错误;D.结合图示可知,图中①~⑤依次处于减数分裂前的间期、减数分裂Ⅰ后期、减数分裂Ⅰ前期(同源染色体联会)、减数分裂Ⅱ末期、减数分裂Ⅱ后期,因此发生的顺序依次为①→③→②→⑤→④,D正确。故选C。]
4.(2025·高一下·福建福州期中)克氏综合征(Klinefelter综合征)患者染色体组成为XXY,表现为男性性腺功能低下、雄激素分泌不足、生精功能受损等问题。分析该患者染色体异常的原因,你认为不可能的是 (
A.父亲精原细胞减数分裂Ⅰ后期同源染色体未分离
B.父亲精原细胞减数分裂Ⅱ后期姐妹染色单体未分离
C.母亲卵原细胞减数分裂Ⅰ后期同源染色体未分离
D.母亲卵原细胞减数分裂Ⅱ后期姐妹染色单体未分离
B
)A.父亲精原细胞减数分裂Ⅰ后期同源染色体未分离
B.父亲精原细胞减数分裂Ⅱ后期姐妹染色单体未分离
C.母亲卵原细胞减数分裂Ⅰ后期同源染色体未分离
D.母亲卵原细胞减数分裂Ⅱ后期姐妹染色单体未分离
答案:
B [A.父亲精原细胞减数分裂Ⅰ后期同源染色体未分离,产生染色体组成为XY的精子,与正常的染色体组成为X的卵细胞结合,从而产生染色体组成为XXY的患者,A正确;B.父亲精原细胞减数分裂Ⅱ后期姐妹染色单体未分离,会产生染色体组成为XX或YY的精子,与正常的染色体组成为X的卵细胞结合,从而产生染色体组成为XXX或XYY的个体,B错误;C.母亲卵原细胞减数分裂Ⅰ后期同源染色体未分离,产生染色体组成为XX的卵细胞,与正常的染色体组成为Y的精子结合,从而产生染色体组成为XXY的患者,C正确;D.母亲卵原细胞减数分裂Ⅱ后期姐妹染色单体未分离,也会产生染色体组成为XX的卵细胞,与正常的染色体组成为Y的精子结合,从而产生染色体组成为XXY的患者,D正确。故选B。]
【易错警示】 减数第一次分裂后期同源染色体分离;减数第二次分裂后期,姐妹染色单体分离。患者染色体组成为XXY,可能是母亲减数分裂异常,产生染色体组成为XX的卵细胞,也可能是父亲减数分裂异常,产生染色体组成为XY的精子。
【易错警示】 减数第一次分裂后期同源染色体分离;减数第二次分裂后期,姐妹染色单体分离。患者染色体组成为XXY,可能是母亲减数分裂异常,产生染色体组成为XX的卵细胞,也可能是父亲减数分裂异常,产生染色体组成为XY的精子。
查看更多完整答案,请扫码查看