第75页
- 第1页
- 第2页
- 第3页
- 第4页
- 第5页
- 第6页
- 第7页
- 第8页
- 第9页
- 第10页
- 第11页
- 第12页
- 第13页
- 第14页
- 第15页
- 第16页
- 第17页
- 第18页
- 第19页
- 第20页
- 第21页
- 第22页
- 第23页
- 第24页
- 第25页
- 第26页
- 第27页
- 第28页
- 第29页
- 第30页
- 第31页
- 第32页
- 第33页
- 第34页
- 第35页
- 第36页
- 第37页
- 第38页
- 第39页
- 第40页
- 第41页
- 第42页
- 第43页
- 第44页
- 第45页
- 第46页
- 第47页
- 第48页
- 第49页
- 第50页
- 第51页
- 第52页
- 第53页
- 第54页
- 第55页
- 第56页
- 第57页
- 第58页
- 第59页
- 第60页
- 第61页
- 第62页
- 第63页
- 第64页
- 第65页
- 第66页
- 第67页
- 第68页
- 第69页
- 第70页
- 第71页
- 第72页
- 第73页
- 第74页
- 第75页
- 第76页
- 第77页
- 第78页
- 第79页
- 第80页
- 第81页
- 第82页
- 第83页
- 第84页
- 第85页
- 第86页
- 第87页
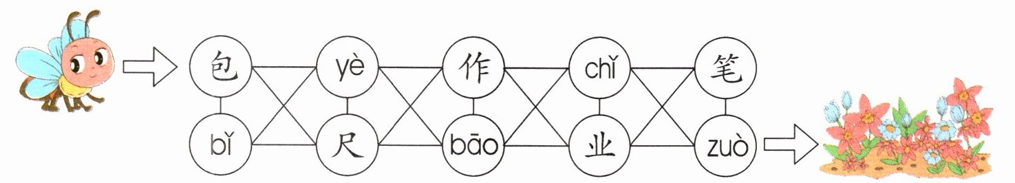
一、认识伙伴。把汉字和对应的拼音涂上相同的颜色。

答案:
包 bāo 尺 chǐ zuò 作 yè业 bǐ 笔
【解析】此题考查学生对会认字的掌握。读一读汉字,然后给汉字和它的读音涂上相同的颜色。
【解析】此题考查学生对会认字的掌握。读一读汉字,然后给汉字和它的读音涂上相同的颜色。
二、你有及时整理文具的习惯吗?读拼音,写汉字。
yào shàng tǐ yù kè le xiǎo lín bǎ bú yòng de zhuàn bǐ dāo qiān bǐ hé
要上体育课了,小林把 用的转笔 、铅笔和
chāo xiě běn bǎi fàng hǎo rán hòu xiàng cāo chǎng zǒu qù
抄写 摆放好,然后向操场走去。
yào shàng tǐ yù kè le xiǎo lín bǎ bú yòng de zhuàn bǐ dāo qiān bǐ hé
要上体育课了,小林把 用的转笔 、铅笔和
chāo xiě běn bǎi fàng hǎo rán hòu xiàng cāo chǎng zǒu qù
抄写 摆放好,然后向操场走去。
答案:
不 刀 本
【解析】此题考查学生对会写字\的掌握。借助拼音读句子,结合语境,在田字格内正确\美观地书写汉字。
【解析】此题考查学生对会写字\的掌握。借助拼音读句子,结合语境,在田字格内正确\美观地书写汉字。
三、帮学习伙伴安家。把下列物品分类摆放。(填序号)

shū běn wén jù
书本: 文具:
shū běn wén jù
书本: 文具:
答案:
书本:①⑥
文具:②③④⑤
【解析】此题考查学生的分类能力。橡皮、直尺、铅笔\转笔刀属于文具,日记本和语文书属于书本。
文具:②③④⑤
【解析】此题考查学生的分类能力。橡皮、直尺、铅笔\转笔刀属于文具,日记本和语文书属于书本。
四、争做整理文具、书本的小能手。照样子,写句子。
lì wǒ huì bǎ wén jù bǎi fàng zhěng qí
例:我会把文具摆放整齐。
huì
会 。
lì wǒ huì bǎ wén jù bǎi fàng zhěng qí
例:我会把文具摆放整齐。
huì
会 。
答案:
示例:我 \会把书本摆放整齐
【解析】此题考查学生的仿写能力。仿照例句,按照\谁会怎么样\的句式把句子补全完整。
【解析】此题考查学生的仿写能力。仿照例句,按照\谁会怎么样\的句式把句子补全完整。
查看更多完整答案,请扫码查看