2025年同步练习册分层检测卷高中生物选择性必修1人教版
注:目前有些书本章节名称可能整理的还不是很完善,但都是按照顺序排列的,请同学们按照顺序仔细查找。练习册 2025年同步练习册分层检测卷高中生物选择性必修1人教版 答案主要是用来给同学们做完题方便对答案用的,请勿直接抄袭。
第17页
- 第1页
- 第2页
- 第3页
- 第4页
- 第5页
- 第6页
- 第7页
- 第8页
- 第9页
- 第10页
- 第11页
- 第12页
- 第13页
- 第14页
- 第15页
- 第16页
- 第17页
- 第18页
- 第19页
- 第20页
- 第21页
- 第22页
- 第23页
- 第24页
- 第25页
- 第26页
- 第27页
- 第28页
- 第29页
- 第30页
- 第31页
- 第32页
- 第33页
- 第34页
- 第35页
- 第36页
- 第37页
- 第38页
- 第39页
- 第40页
- 第41页
- 第42页
- 第43页
- 第44页
- 第45页
- 第46页
- 第47页
- 第48页
- 第49页
- 第50页
- 第51页
- 第52页
- 第53页
- 第54页
- 第55页
- 第56页
- 第57页
- 第58页
- 第59页
- 第60页
- 第61页
- 第62页
- 第63页
- 第64页
- 第65页
- 第66页
- 第67页
- 第68页
1.下列关于人体细胞外液的叙述错误的是 ( )
A.人体的细胞外液即内环境
B.细胞外液的化学成分中有葡萄糖、无机盐、激素、尿素等物质
C.细胞外液主要成分之间的关系可表示为血浆⇌组织液→淋巴液→血浆
D.小肠壁的肌细胞可以不通过细胞外液从肠道直接吸收葡萄糖
A.人体的细胞外液即内环境
B.细胞外液的化学成分中有葡萄糖、无机盐、激素、尿素等物质
C.细胞外液主要成分之间的关系可表示为血浆⇌组织液→淋巴液→血浆
D.小肠壁的肌细胞可以不通过细胞外液从肠道直接吸收葡萄糖
答案:
D
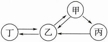
2.下图表示人体中甲、乙、丙、丁4种体液之间的关系,下列叙述错误的是 ( )

A.甲表示组织液、丙表示淋巴液
B.甲、乙、丙中可有激素、尿素、葡萄糖、CO₂
C.甲、乙穿过毛细血管壁相互渗透
D.丁中O₂浓度不可能比乙中的高
A.甲表示组织液、丙表示淋巴液
B.甲、乙、丙中可有激素、尿素、葡萄糖、CO₂
C.甲、乙穿过毛细血管壁相互渗透
D.丁中O₂浓度不可能比乙中的高
答案:
D
3.在马拉松比赛中,某运动员补充了一些盐水和葡萄糖溶液。下列关于此运动员生理变化的叙述中,正确的是 ( )
A.葡萄糖被小肠吸收后通过血液循环系统输送到组织细胞
B.盐水进入机体,细胞内液Na⁺的增加量远大于细胞外液Na⁺的增加量
C.运动员血浆中的尿素先进入淋巴液再进入组织液最后在肾脏形成尿液排出
D.葡萄糖被吸收后在内环境中氧化分解产生ATP供机体利用
A.葡萄糖被小肠吸收后通过血液循环系统输送到组织细胞
B.盐水进入机体,细胞内液Na⁺的增加量远大于细胞外液Na⁺的增加量
C.运动员血浆中的尿素先进入淋巴液再进入组织液最后在肾脏形成尿液排出
D.葡萄糖被吸收后在内环境中氧化分解产生ATP供机体利用
答案:
A
4.有氧运动(如慢跑、快走等)是维持身体健康和增强体质的有效措施。下列有关叙述正确的是 ( )
A.在运动过程中,由血浆进入组织液中的O₂量会增加
B.丙酮酸氧化分解发生在内环境中
C.人体剧烈运动不会使血浆的酸碱度发生变化
D.运动过程中人体体温会略微升高,说明内环境失去了稳态
A.在运动过程中,由血浆进入组织液中的O₂量会增加
B.丙酮酸氧化分解发生在内环境中
C.人体剧烈运动不会使血浆的酸碱度发生变化
D.运动过程中人体体温会略微升高,说明内环境失去了稳态
答案:
A
查看更多完整答案,请扫码查看