2025年同步指导素养评价与归类复习测试卷五年级数学上册人教版
注:目前有些书本章节名称可能整理的还不是很完善,但都是按照顺序排列的,请同学们按照顺序仔细查找。练习册 2025年同步指导素养评价与归类复习测试卷五年级数学上册人教版 答案主要是用来给同学们做完题方便对答案用的,请勿直接抄袭。
第33页
- 第1页
- 第2页
- 第3页
- 第4页
- 第5页
- 第6页
- 第7页
- 第8页
- 第9页
- 第10页
- 第11页
- 第12页
- 第13页
- 第14页
- 第15页
- 第16页
- 第17页
- 第18页
- 第19页
- 第20页
- 第21页
- 第22页
- 第23页
- 第24页
- 第25页
- 第26页
- 第27页
- 第28页
- 第29页
- 第30页
- 第31页
- 第32页
- 第33页
- 第34页
- 第35页
- 第36页
- 第37页
- 第38页
- 第39页
- 第40页
- 第41页
- 第42页
- 第43页
- 第44页
- 第45页
- 第46页
- 第47页
- 第48页
- 第49页
- 第50页
- 第51页
- 第52页
- 第53页
- 第54页
- 第55页
- 第56页
- 第57页
- 第58页
- 第59页
- 第60页
- 第61页
- 第62页
- 第63页
- 第64页
- 第65页
- 第66页
- 第67页
- 第68页
- 第69页
- 第70页
- 第71页
- 第72页
- 第73页
- 第74页
- 第75页
- 第76页
- 第77页
- 第78页
- 第79页
- 第80页
- 第81页
- 第82页
- 第83页
- 第84页
- 第85页
- 第86页
- 第87页
- 第88页
- 第89页
- 第90页
- 第91页
- 第92页
2. 明明今年 $ x $ 岁,爸爸今年 $ y $ 岁, $ 3 $ 年后爸爸比明明大(
[A]y - x
[B]3
[C]y - x + 3
[D]y - x - 3
A
)岁。[A]y - x
[B]3
[C]y - x + 3
[D]y - x - 3
答案:
A
3. 下面的方程中,与 $ 2x = 12 $ 的解相同的是(
[A]3x - 4 = 14
[B]x ÷ 5 = 8
[C]6 + 2x = 14
[D]x + 5 = 16
A
)。[A]3x - 4 = 14
[B]x ÷ 5 = 8
[C]6 + 2x = 14
[D]x + 5 = 16
答案:
A
4. 妈妈今年 $ 33 $ 岁,比儿子的年龄的 $ 8 $ 倍还多 $ 1 $ 岁,假设儿子今年 $ x $ 岁,可列方程为(
[A]8x - 1 = 33
[B]8x + 1 = 33
[C]8x - 33 = 1
[D]8x = 33 + 1
B
)。[A]8x - 1 = 33
[B]8x + 1 = 33
[C]8x - 33 = 1
[D]8x = 33 + 1
答案:
B
5. 根据 $ x + 7.2 = 10 $,判断下面各式成立的是(
[A]x + 7.2 = 10 - 7.2
[B]x + 7.2 - 7.2 = 10 + 7.2
[C]x + 7.2 = 10 + 7.2
[D]x + 7.2 - 7.2 = 10 - 7.
D
)。[A]x + 7.2 = 10 - 7.2
[B]x + 7.2 - 7.2 = 10 + 7.2
[C]x + 7.2 = 10 + 7.2
[D]x + 7.2 - 7.2 = 10 - 7.
答案:
D
四、连一连。(共 4 分)

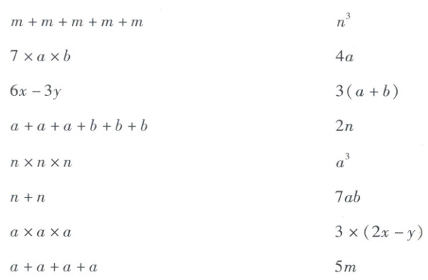
答案:
$m + m + m + m + m$ —— $5m$;
$7× a× b$ —— $7ab$;
$6x - 3y$ —— $3×(2x - y)$;
$a + a + a + b + b + b$ —— $3(a + b)$;
$n× n× n$ —— $n^{3}$;
$n + n$ —— $2n$;
$a× a× a$ —— $a^{3}$;
$a + a + a + a$ —— $4a$。
$7× a× b$ —— $7ab$;
$6x - 3y$ —— $3×(2x - y)$;
$a + a + a + b + b + b$ —— $3(a + b)$;
$n× n× n$ —— $n^{3}$;
$n + n$ —— $2n$;
$a× a× a$ —— $a^{3}$;
$a + a + a + a$ —— $4a$。
1. 直接写出得数。(每题 0.5 分,共 6 分)
0.6×0.9=
5a+4a=
0.4²=
2.5d+3.6d=
7c+3c=
1-0.5=
0÷0.28=
7a-3a=
3²=
8²=
8b-5b=
9x-4x=
0.6×0.9=
0.54
5a+4a=
9a
0.4²=
16
2.5d+3.6d=
6.1d
7c+3c=
10c
1-0.5=
0.5
0÷0.28=
0
7a-3a=
4a
3²=
9
8²=
64
8b-5b=
3b
9x-4x=
5x
答案:
0.54;9a;16;6.1d;10c;0.5;0;4a;9;64;3b;5x
查看更多完整答案,请扫码查看