第49页
- 第1页
- 第2页
- 第3页
- 第4页
- 第5页
- 第6页
- 第7页
- 第8页
- 第9页
- 第10页
- 第11页
- 第12页
- 第13页
- 第14页
- 第15页
- 第16页
- 第17页
- 第18页
- 第19页
- 第20页
- 第21页
- 第22页
- 第23页
- 第24页
- 第25页
- 第26页
- 第27页
- 第28页
- 第29页
- 第30页
- 第31页
- 第32页
- 第33页
- 第34页
- 第35页
- 第36页
- 第37页
- 第38页
- 第39页
- 第40页
- 第41页
- 第42页
- 第43页
- 第44页
- 第45页
- 第46页
- 第47页
- 第48页
- 第49页
- 第50页
- 第51页
- 第52页
- 第53页
- 第54页
- 第55页
- 第56页
- 第57页
- 第58页
- 第59页
- 第60页
- 第61页
- 第62页
- 第63页
$120÷40= $ $400÷50= $ $240÷40= $ $560÷70= $ $450÷90= $
$900÷90= $ $280÷40= $ $630÷70= $ $640÷80= $ $480÷60= $
用时:____分____秒
$900÷90= $ $280÷40= $ $630÷70= $ $640÷80= $ $480÷60= $
用时:____分____秒
答案:
3 8 6 8 5 10 7 9 8 8
1. 填一填,算一算。
]

]
答案:
73 70 73×2 余数
2. 先说一说把除数分别看作几十来试商,再计算。
]

]
答案:
(30)$\begin{array}{r} 3\\ 32\enclose{longdiv} {98}\\ 96\\ \hline 2\end{array} $
(20)$\begin{array}{r} 3\\ 24\enclose{longdiv} {72}\\ 72\\ \hline 0\end{array} $
(50)$\begin{array}{r} 12\\ 51\enclose{longdiv} {625}\\ 51\\ \hline 115\\ 102\\ \hline 13\end{array} $
(40)$\begin{array}{r} 9\\ 44\enclose{longdiv} {396}\\ 396\\ \hline 0\end{array} $
(30)$\begin{array}{r} 3\\ 32\enclose{longdiv} {98}\\ 96\\ \hline 2\end{array} $
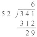
3. 先判断对错,再把错误的改正过来。
]


]
答案:
× $\begin{array}{r} 6\\ 42\enclose{longdiv} {254}\\ 252\\ \hline 2\end{array} $
× $\begin{array}{r} 6\\ 52\enclose{longdiv} {341}\\ 312\\ \hline 29\end{array} $
× $\begin{array}{r} 6\\ 42\enclose{longdiv} {254}\\ 252\\ \hline 2\end{array} $
4. 一本798页的书,小辉每天读42页,他多少天可以读完?
竖式计算过程如图,箭头所指的部分表示( )。

A.1天读42页
B.10天读42页
C.1天读420页
D.10天读420页
竖式计算过程如图,箭头所指的部分表示( )。
A.1天读42页
B.10天读42页
C.1天读420页
D.10天读420页
答案:
D
查看更多完整答案,请扫码查看