3. 看图填一填。

口诀:

口诀:
5
×
3
= 15
口诀:
三五十五
5
×
2
= 10
口诀:
二五一十
答案:
5×3=15 三五十五
5×2=10 二五一十
5×2=10 二五一十
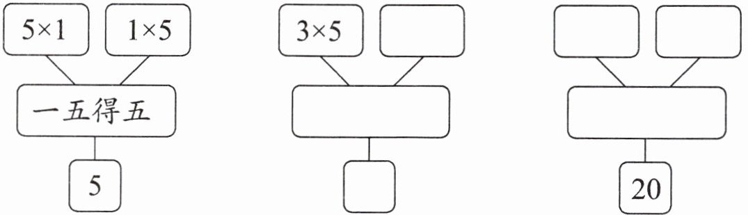
4. 照样子填一填。

5×3
三五十五
15
4×5
5×4
四五二十
答案:
5×3 三五十五 15
4×5 5×4 四五二十
4×5 5×4 四五二十
5. 数一数,写算式。

1 朵梅花 5 片花瓣。 5×1=
2 朵梅花(
3 朵梅花(
4 朵梅花(
5 朵梅花(
1 朵梅花 5 片花瓣。 5×1=
5
2 朵梅花(
10
)片花瓣。 5×2
= 10
3 朵梅花(
15
)片花瓣。 5×3
= 15
4 朵梅花(
20
)片花瓣。 5×4
= 20
5 朵梅花(
25
)片花瓣。 5×5
= 25
答案:
5
10 5×2=10
15 5×3=15
20 5×4=20
25 5×5=25
10 5×2=10
15 5×3=15
20 5×4=20
25 5×5=25
6. 找规律画一画,填一填。

答案:
20
20
查看更多完整答案,请扫码查看