第58页
- 第1页
- 第2页
- 第3页
- 第4页
- 第5页
- 第6页
- 第7页
- 第8页
- 第9页
- 第10页
- 第11页
- 第12页
- 第13页
- 第14页
- 第15页
- 第16页
- 第17页
- 第18页
- 第19页
- 第20页
- 第21页
- 第22页
- 第23页
- 第24页
- 第25页
- 第26页
- 第27页
- 第28页
- 第29页
- 第30页
- 第31页
- 第32页
- 第33页
- 第34页
- 第35页
- 第36页
- 第37页
- 第38页
- 第39页
- 第40页
- 第41页
- 第42页
- 第43页
- 第44页
- 第45页
- 第46页
- 第47页
- 第48页
- 第49页
- 第50页
- 第51页
- 第52页
- 第53页
- 第54页
- 第55页
- 第56页
- 第57页
- 第58页
- 第59页
- 第60页
- 第61页
- 第62页
- 第63页
- 第64页
- 第65页
- 第66页
- 第67页
- 第68页
- 第69页
- 第70页
- 第71页
- 第72页
1. 手电筒发出的光线可以近似看成(
射线
)。
答案:
射线
2. 经过一点可以画(
无数
)条直线;经过两点可以画(1
)条直线;经过三点最多可以画(1
)条直线。
答案:
无数 1 1
3. 数一数,下图中有(

1
)条直线,(6
)条射线,(3
)条线段。
答案:
1 6 3
1. 晒青是制作乌龙茶、普洱茶和白茶过程中的一个重要环节,利用太阳光的照射和自然吹风,使鲜茶叶本身的水分适当散发。太阳射出来的光线,在数学中可以看作(
A.线段
B.射线
C.直线
B
)。A.线段
B.射线
C.直线
答案:
B
2. 下面图形中,射线的条数为(

A.2
B.3
C.5
A
)。A.2
B.3
C.5
答案:
A
3. 如下图,小莉从家出发去小兰家有三条路,走第(

A.①
B.②
C.③
B
)条路最近。A.①
B.②
C.③
答案:
B
三、按要求作图。
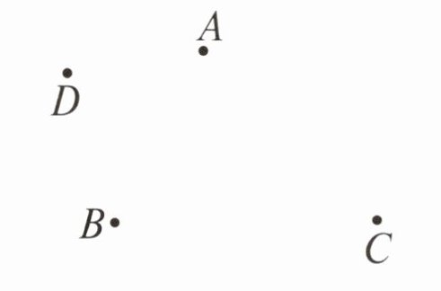
1. 画出射线 $ AC $。
2. 画出线段 $ AB $、$ AD $。
3. 用圆规在射线 $ AC $ 上画线段 $ AE = AD $。

1. 画出射线 $ AC $。
2. 画出线段 $ AB $、$ AD $。
3. 用圆规在射线 $ AC $ 上画线段 $ AE = AD $。
答案:
1. 画射线 $AC$:以点$A$为端点,向点$C$方向画射线$AC$。
2. 画线段 $AB$、$AD$:用直尺连接点$A$和点$B$,得到线段$AB$;连接点$A$和点$D$,得到线段$AD$。
3. 画线段 $AE = AD$:用圆规量取线段$AD$的长度,以点$A$为圆心,在射线$AC$上截取$AE$,使$AE$的长度等于$AD$的长度。
2. 画线段 $AB$、$AD$:用直尺连接点$A$和点$B$,得到线段$AB$;连接点$A$和点$D$,得到线段$AD$。
3. 画线段 $AE = AD$:用圆规量取线段$AD$的长度,以点$A$为圆心,在射线$AC$上截取$AE$,使$AE$的长度等于$AD$的长度。
查看更多完整答案,请扫码查看