第70页
- 第1页
- 第2页
- 第3页
- 第4页
- 第5页
- 第6页
- 第7页
- 第8页
- 第9页
- 第10页
- 第11页
- 第12页
- 第13页
- 第14页
- 第15页
- 第16页
- 第17页
- 第18页
- 第19页
- 第20页
- 第21页
- 第22页
- 第23页
- 第24页
- 第25页
- 第26页
- 第27页
- 第28页
- 第29页
- 第30页
- 第31页
- 第32页
- 第33页
- 第34页
- 第35页
- 第36页
- 第37页
- 第38页
- 第39页
- 第40页
- 第41页
- 第42页
- 第43页
- 第44页
- 第45页
- 第46页
- 第47页
- 第48页
- 第49页
- 第50页
- 第51页
- 第52页
- 第53页
- 第54页
- 第55页
- 第56页
- 第57页
- 第58页
- 第59页
- 第60页
- 第61页
- 第62页
- 第63页
- 第64页
- 第65页
- 第66页
- 第67页
- 第68页
- 第69页
- 第70页
- 第71页
- 第72页
- 第73页
- 第74页
1. 在解释生物进化的原因中,目前人们普遍接受的是达尔文的自然选择学说,以下关键词能正确概述自然选择学说内容的一组是(
①自然发生 ②物种不变 ③过度繁殖 ④环境污染 ⑤生存斗争 ⑥遗传、变异 ⑦适者生存
A.①②③⑦
B.④⑤⑥⑦
C.①③④⑤
D.③⑤⑥⑦
D
)①自然发生 ②物种不变 ③过度繁殖 ④环境污染 ⑤生存斗争 ⑥遗传、变异 ⑦适者生存
A.①②③⑦
B.④⑤⑥⑦
C.①③④⑤
D.③⑤⑥⑦
答案:
1.D
2. 下图为长颈鹿进化示意图,请据图回答问题。

(1) 图①说明古代长颈鹿祖先的个体之间颈长和前肢长存在着
(2) 图②③说明地球环境变得干旱,缺乏青草时,
(3) 自然界中的生物,通过激烈的
(1) 图①说明古代长颈鹿祖先的个体之间颈长和前肢长存在着
差异
。(2) 图②③说明地球环境变得干旱,缺乏青草时,
颈和前肢长
的长颈鹿个体容易获得食物而生存下来,并繁殖后代,颈和前肢短
的长颈鹿个体被淘汰掉。那么,颈长和前肢长的变异是有利变异
。(3) 自然界中的生物,通过激烈的
生存斗争
,适应者生存下来,不适应者被淘汰掉,这就是自然选择
。
答案:
2.
(1)差异
(2)颈和前肢长 颈和前肢短 有利变异
(3)生存斗争 自然选择
(1)差异
(2)颈和前肢长 颈和前肢短 有利变异
(3)生存斗争 自然选择
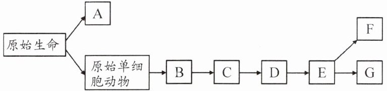
3. 下图是动物进化历程的图解,据图回答问题。

(1) 原始生命形成以后,由于营养方式的不同,一部分进化为不能自养的原始单细胞动物,另一部分进化成为具有叶绿素的 A
(2) 原始单细胞动物进化成 B 无脊椎动物,无脊椎动物进化成最早的脊椎动物 C
(1) 原始生命形成以后,由于营养方式的不同,一部分进化为不能自养的原始单细胞动物,另一部分进化成为具有叶绿素的 A
藻类植物
。(2) 原始单细胞动物进化成 B 无脊椎动物,无脊椎动物进化成最早的脊椎动物 C
鱼类
;真正的陆生脊椎动物是 E爬行类动物
,摆脱了水的限制;E 进一步进化成 F 鸟类和 G哺乳动物
。始祖鸟
化石说明了鸟类起源于爬行动物。
答案:
3.
(1)藻类植物
(2)鱼类 爬行类动物 哺乳动物 始祖鸟
(1)藻类植物
(2)鱼类 爬行类动物 哺乳动物 始祖鸟
4. 右图所示的进化树,简要表示了几种生物之间的亲缘关系。从进化树我们可以推测(

A.a、b、c、d 四种生物的共同祖先是 e
B.在地层中出现最早的生物化石是 e
C.较 a 和 e 而言,a 和 b 间的亲缘关系更近
D.a 一定比 c 高等
C
)A.a、b、c、d 四种生物的共同祖先是 e
B.在地层中出现最早的生物化石是 e
C.较 a 和 e 而言,a 和 b 间的亲缘关系更近
D.a 一定比 c 高等
答案:
4.C
查看更多完整答案,请扫码查看