第47页
- 第1页
- 第2页
- 第3页
- 第4页
- 第5页
- 第6页
- 第7页
- 第8页
- 第9页
- 第10页
- 第11页
- 第12页
- 第13页
- 第14页
- 第15页
- 第16页
- 第17页
- 第18页
- 第19页
- 第20页
- 第21页
- 第22页
- 第23页
- 第24页
- 第25页
- 第26页
- 第27页
- 第28页
- 第29页
- 第30页
- 第31页
- 第32页
- 第33页
- 第34页
- 第35页
- 第36页
- 第37页
- 第38页
- 第39页
- 第40页
- 第41页
- 第42页
- 第43页
- 第44页
- 第45页
- 第46页
- 第47页
- 第48页
- 第49页
- 第50页
- 第51页
- 第52页
- 第53页
- 第54页
- 第55页
- 第56页
- 第57页
- 第58页
- 第59页
- 第60页
- 第61页
- 第62页
- 第63页
- 第64页
- 第65页
- 第66页
- 第67页
- 第68页
- 第69页
- 第70页
- 第71页
- 第72页
- 第73页
- 第74页
- 第75页
- 第76页
- 第77页
- 第78页
- 第79页
- 第80页
- 第81页
- 第82页
- 第83页
- 第84页
- 第85页
- 第86页
- 第87页
快乐导航 1. 除数是整数的小数除法的计算方法:按照整数除法的计算方法计算,商的小数点要和( )的小数点对齐。
答案:
被除数
小试身手 2. 想一想,填一填。
“中国结”不仅造型优美,还体现了中华民族悠久的历史文化。王阿姨花 32.4 元买了 12 个“中国结”,平均每个“中国结”多少元?
$□ ◯ □ =□( )\begin{array}{r} \overset{\begin{array}{r} 十 个 十\\ 位 位 分位\end{array} }{2.□ }\\ 12\enclose{longdiv}{3\ 2.4}\\ \underline{2\ 4}\\ □ □ \leftarrow $表示( )个( )\\ □ □ \\ _________$\\ 0\end{array}$

“中国结”不仅造型优美,还体现了中华民族悠久的历史文化。王阿姨花 32.4 元买了 12 个“中国结”,平均每个“中国结”多少元?
$□ ◯ □ =□( )\begin{array}{r} \overset{\begin{array}{r} 十 个 十\\ 位 位 分位\end{array} }{2.□ }\\ 12\enclose{longdiv}{3\ 2.4}\\ \underline{2\ 4}\\ □ □ \leftarrow $表示( )个( )\\ □ □ \\ _________$\\ 0\end{array}$
答案:
32.4÷12=2.7(元)
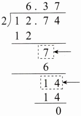
3. 乐乐花 12.74 元买了 2 支牙刷,平均每支牙刷多少元?右边的除法竖式中,箭头所指的“7”和“14”分别表示( )。
$
\begin{array}{r} 6.37\\ 2\enclose{longdiv}{12.74}\\ 12\\ \hline 7\\ 6\\ \hline 14\\ 14\\ \hline 0\end{array} $
A.7 元和 14 角
B.7 元和 14 分
C.7 角和 14 分
D.7 角和 14 角
$
A.7 元和 14 角
B.7 元和 14 分
C.7 角和 14 分
D.7 角和 14 角
答案:
C
4. 用竖式计算。
$50.4÷ 6= $$ $$44.8÷ 32= $
$22.4÷ 4= $$ $$37.5÷ 15= $
$50.4÷ 6= $$ $$44.8÷ 32= $
$22.4÷ 4= $$ $$37.5÷ 15= $
答案:
8.4 1.4 5.6 2.5
5. 某小学开展“节约用水,从我做起”的活动。今年 5 月份共节约用水 43.4 吨,平均每天节约用水多少吨?
答案:
43.4÷31=1.4(吨)
6. 哪种芒果便宜?每千克便宜多少元?
锦囊妙计 先计算每种芒果的单价,再比较。

甲:15 千克,31.5 元
乙:12 千克,28.8 元
锦囊妙计 先计算每种芒果的单价,再比较。
甲:15 千克,31.5 元
乙:12 千克,28.8 元
答案:
甲:31.5÷15=2.1(元) 乙:28.8÷12=2.4(元) 2.1<2.4,甲种芒果便宜,每千克便宜:2.4 - 2.1=0.3(元)
查看更多完整答案,请扫码查看