第86页
- 第1页
- 第2页
- 第3页
- 第4页
- 第5页
- 第6页
- 第7页
- 第8页
- 第9页
- 第10页
- 第11页
- 第12页
- 第13页
- 第14页
- 第15页
- 第16页
- 第17页
- 第18页
- 第19页
- 第20页
- 第21页
- 第22页
- 第23页
- 第24页
- 第25页
- 第26页
- 第27页
- 第28页
- 第29页
- 第30页
- 第31页
- 第32页
- 第33页
- 第34页
- 第35页
- 第36页
- 第37页
- 第38页
- 第39页
- 第40页
- 第41页
- 第42页
- 第43页
- 第44页
- 第45页
- 第46页
- 第47页
- 第48页
- 第49页
- 第50页
- 第51页
- 第52页
- 第53页
- 第54页
- 第55页
- 第56页
- 第57页
- 第58页
- 第59页
- 第60页
- 第61页
- 第62页
- 第63页
- 第64页
- 第65页
- 第66页
- 第67页
- 第68页
- 第69页
- 第70页
- 第71页
- 第72页
- 第73页
- 第74页
- 第75页
- 第76页
- 第77页
- 第78页
- 第79页
- 第80页
- 第81页
- 第82页
- 第83页
- 第84页
- 第85页
- 第86页
- 第87页
【活动一】多边形内只有1枚钉子,探究它的面积与它边上的钉子数有什么关系。
1. 根据课本108页钉子图上的四个图形完成下表。
|图形编号|多边形的面积/平方厘米|多边形边上的钉子数/枚|
|①| | |
|②| | |
|③| | |
|④| | |

2. 交流:(1)顶点都在钉子上;(2)边上有钉子,多边形内有钉子;(3)边上的钉子越多,面积就越大。
3. 结论:多边形内只有1枚钉子,它的面积是它边上的钉子数的一半。如果用S表示多边形的面积,n表示多边形边上的钉子数,那么$ S= ($ $ )$。
1. 根据课本108页钉子图上的四个图形完成下表。
|图形编号|多边形的面积/平方厘米|多边形边上的钉子数/枚|
|①| | |
|②| | |
|③| | |
|④| | |
2. 交流:(1)顶点都在钉子上;(2)边上有钉子,多边形内有钉子;(3)边上的钉子越多,面积就越大。
3. 结论:多边形内只有1枚钉子,它的面积是它边上的钉子数的一半。如果用S表示多边形的面积,n表示多边形边上的钉子数,那么$ S= ($ $ )$。
答案:
1.
|图形编号|多边形的面积/平方厘米|多边形边上的钉子数/枚|
|----|----|----|
|①|2|4|
|②|3|6|
|③|3.5|7|
|④|4|8|
3.$n÷ 2$
|图形编号|多边形的面积/平方厘米|多边形边上的钉子数/枚|
|----|----|----|
|①|2|4|
|②|3|6|
|③|3.5|7|
|④|4|8|
3.$n÷ 2$
【活动二】探究多边形内有2枚钉子,它的面积与它边上的钉子数有什么关系。
1. 在钉子板上围成3个多边形内有两个钉子的图形,并完成下表。
|多边形内的钉子数|边上的钉子数/枚|多边形的面积/平方厘米|
|2| | |
|2| | |
|2| | |

2. 结论:多边形内有2枚钉子时,$ S= ($ $ )$。
1. 在钉子板上围成3个多边形内有两个钉子的图形,并完成下表。
|多边形内的钉子数|边上的钉子数/枚|多边形的面积/平方厘米|
|2| | |
|2| | |
|2| | |
2. 结论:多边形内有2枚钉子时,$ S= ($ $ )$。
答案:
1.
|多边形内的钉子数|边上的钉子数/枚|多边形的面积/平方厘米|
|----|----|----|
|2|4|3|
|2|8|5|
|2|10|6|
2.$n÷ 2+1$
|多边形内的钉子数|边上的钉子数/枚|多边形的面积/平方厘米|
|----|----|----|
|2|4|3|
|2|8|5|
|2|10|6|
2.$n÷ 2+1$
【活动三】探究多边形内有3枚钉子,它的面积与它边上的钉子数有什么关系?
1. 各小组共同探究,多边形内钉子数为3枚时,它的面积与边上钉子数的关系。
2. 结论:多边形内有3枚钉子时,$ S= ($ $ )$。
1. 各小组共同探究,多边形内钉子数为3枚时,它的面积与边上钉子数的关系。
2. 结论:多边形内有3枚钉子时,$ S= ($ $ )$。
答案:
2.$n÷ 2+2$
【活动四】共同讨论,归纳推理,形成一般公式。
1. 讨论:多边形内有1枚钉子、2枚钉子、3枚钉子……与对应的面积之间有什么规律?
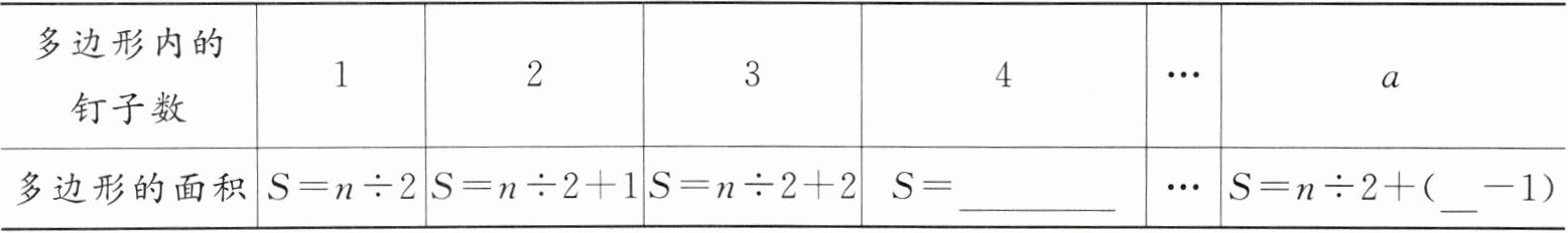
2. 完成下表。(n表示多边形边上的钉子数)
|多边形内的钉子数|1|2|3|4|…|a|
|多边形的面积|$ S = n ÷ 2 $|$ S = n ÷ 2 + 1 $|$ S = n ÷ 2 + 2 $|$ S = $______|…|$ S = n ÷ 2 + ($______$ - 1) $|

3. 总结,回顾探索和发现规律的过程,并对各小组合作探究情况进行评价。
同学们,你们非常了不起,探究出来的这个多边形面积公式就是著名的皮克定理(皮克公式),又叫作格点多边形面积公式。
1. 讨论:多边形内有1枚钉子、2枚钉子、3枚钉子……与对应的面积之间有什么规律?
2. 完成下表。(n表示多边形边上的钉子数)
|多边形内的钉子数|1|2|3|4|…|a|
|多边形的面积|$ S = n ÷ 2 $|$ S = n ÷ 2 + 1 $|$ S = n ÷ 2 + 2 $|$ S = $______|…|$ S = n ÷ 2 + ($______$ - 1) $|
3. 总结,回顾探索和发现规律的过程,并对各小组合作探究情况进行评价。
同学们,你们非常了不起,探究出来的这个多边形面积公式就是著名的皮克定理(皮克公式),又叫作格点多边形面积公式。
答案:
2.$n÷ 2+3$ $a$
查看更多完整答案,请扫码查看