第90页
- 第1页
- 第2页
- 第3页
- 第4页
- 第5页
- 第6页
- 第7页
- 第8页
- 第9页
- 第10页
- 第11页
- 第12页
- 第13页
- 第14页
- 第15页
- 第16页
- 第17页
- 第18页
- 第19页
- 第20页
- 第21页
- 第22页
- 第23页
- 第24页
- 第25页
- 第26页
- 第27页
- 第28页
- 第29页
- 第30页
- 第31页
- 第32页
- 第33页
- 第34页
- 第35页
- 第36页
- 第37页
- 第38页
- 第39页
- 第40页
- 第41页
- 第42页
- 第43页
- 第44页
- 第45页
- 第46页
- 第47页
- 第48页
- 第49页
- 第50页
- 第51页
- 第52页
- 第53页
- 第54页
- 第55页
- 第56页
- 第57页
- 第58页
- 第59页
- 第60页
- 第61页
- 第62页
- 第63页
- 第64页
- 第65页
- 第66页
- 第67页
- 第68页
- 第69页
- 第70页
- 第71页
- 第72页
- 第73页
- 第74页
- 第75页
- 第76页
- 第77页
- 第78页
- 第79页
- 第80页
- 第81页
- 第82页
- 第83页
- 第84页
- 第85页
- 第86页
- 第87页
- 第88页
- 第89页
- 第90页
- 第91页
- 第92页
- 第93页
- 第94页
- 第95页
- 第96页
- 第97页
- 第98页
- 第99页
- 第100页
7.学校化学兴趣小组的同学们对一份固体样品进行了探究(该样品仅由氧化铜和铜粉混合而成)。他们称取了20g固体样品,用图甲装置进行实验,至反应完全测定的部分数据如图乙。下列说法正确的是 ( )
A.由图乙可知,原固体样品中铜粉的质量为16.8g
B.原固体样品中氧化铜的质量分数为75%
C.若图甲中生成的二氧化碳全部被澄清石灰水吸收,则产生沉淀的质量是20g
D.实验过程中实际用到的CO的质量小于5.6g
A.由图乙可知,原固体样品中铜粉的质量为16.8g
B.原固体样品中氧化铜的质量分数为75%
C.若图甲中生成的二氧化碳全部被澄清石灰水吸收,则产生沉淀的质量是20g
D.实验过程中实际用到的CO的质量小于5.6g
答案:
C
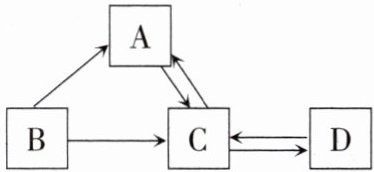
8.A、B、C、D四种物质都含有碳元素,C常用作灭火剂,A与C的组成元素相同。它们之间的转化关系如图:
(1)A属于______(填“单质”或“化合物”)。
(2)C→A的化学方程式为______。该反应所属的基本反应类型为______。
(3)若D为难溶于水的固体,请写出D→C发生反应的化学方程式:______。
(1)A属于______(填“单质”或“化合物”)。
(2)C→A的化学方程式为______。该反应所属的基本反应类型为______。
(3)若D为难溶于水的固体,请写出D→C发生反应的化学方程式:______。
答案:
(1)化合物
(2)CO₂ + C =高温= 2CO;化合反应
(3)CaCO₃ + 2HCl = CaCl₂ + H₂O + CO₂↑(或CaCO₃ =高温= CaO + CO₂↑)
(1)化合物
(2)CO₂ + C =高温= 2CO;化合反应
(3)CaCO₃ + 2HCl = CaCl₂ + H₂O + CO₂↑(或CaCO₃ =高温= CaO + CO₂↑)
9.如图是一氧化碳还原氧化铜的实验装置,请按要求回答问题。
(1)一氧化碳是一种有毒、易燃、难溶于水的气体。实验开始时,为确保实验安全,要先通一会儿CO,在装置B广口瓶的液面下降到安全线之前,不能点燃酒精灯,原因是______。
(2)按要求点燃酒精灯后,继续缓慢通入CO,装置A的硬质玻璃管中产生的现象是______。装置B广口瓶中出现的现象是______,发生反应的化学方程式为______。通过此实验,证明一氧化碳具有______(填化学性质)。
(3)实验结束后,停止加热,继续通入CO气体,直到硬质玻璃管冷却至室温,从安全角度考虑,这样做的目的是______,在整个实验过程中,装置C的作用是______。
(1)一氧化碳是一种有毒、易燃、难溶于水的气体。实验开始时,为确保实验安全,要先通一会儿CO,在装置B广口瓶的液面下降到安全线之前,不能点燃酒精灯,原因是______。
(2)按要求点燃酒精灯后,继续缓慢通入CO,装置A的硬质玻璃管中产生的现象是______。装置B广口瓶中出现的现象是______,发生反应的化学方程式为______。通过此实验,证明一氧化碳具有______(填化学性质)。
(3)实验结束后,停止加热,继续通入CO气体,直到硬质玻璃管冷却至室温,从安全角度考虑,这样做的目的是______,在整个实验过程中,装置C的作用是______。
答案:
(1)防止一氧化碳与空气混合加热时发生爆炸。
(2)黑色粉末逐渐变红;澄清石灰水变浑浊;$CO_{2}+Ca(OH)_{2}=CaCO_{3}\downarrow +H_{2}O$;还原性。
(3)防止生成的铜在高温下被重新氧化;收集未反应的一氧化碳,防止污染空气。
(1)防止一氧化碳与空气混合加热时发生爆炸。
(2)黑色粉末逐渐变红;澄清石灰水变浑浊;$CO_{2}+Ca(OH)_{2}=CaCO_{3}\downarrow +H_{2}O$;还原性。
(3)防止生成的铜在高温下被重新氧化;收集未反应的一氧化碳,防止污染空气。
查看更多完整答案,请扫码查看