第31页
- 第1页
- 第2页
- 第3页
- 第4页
- 第5页
- 第6页
- 第7页
- 第8页
- 第9页
- 第10页
- 第11页
- 第12页
- 第13页
- 第14页
- 第15页
- 第16页
- 第17页
- 第18页
- 第19页
- 第20页
- 第21页
- 第22页
- 第23页
- 第24页
- 第25页
- 第26页
- 第27页
- 第28页
- 第29页
- 第30页
- 第31页
- 第32页
- 第33页
- 第34页
- 第35页
- 第36页
- 第37页
- 第38页
- 第39页
- 第40页
- 第41页
- 第42页
- 第43页
- 第44页
- 第45页
- 第46页
- 第47页
- 第48页
- 第49页
- 第50页
- 第51页
- 第52页
- 第53页
- 第54页
- 第55页
- 第56页
- 第57页
- 第58页
- 第59页
- 第60页
- 第61页
- 第62页
- 第63页
- 第64页
- 第65页
- 第66页
- 第67页
- 第68页
- 第69页
- 第70页
- 第71页
- 第72页
- 第73页
- 第74页
- 第75页
- 第76页
- 第77页
- 第78页
- 第79页
- 第80页
- 第81页
- 第82页
- 第83页
- 第84页
- 第85页
- 第86页
- 第87页
- 第88页
- 第89页
- 第90页
- 第91页
- 第92页
- 第93页
- 第94页
- 第95页
- 第96页
- 第97页
- 第98页
- 第99页
- 第100页
- 第101页
- 第102页
- 第103页
- 第104页
- 第105页
- 第106页
- 第107页
- 第108页
- 第109页
- 第110页
- 第111页
- 第112页
- 第113页
- 第114页
- 第115页
- 第116页
- 第117页
- 第118页
- 第119页
- 第120页
- 第121页
- 第122页
- 第123页
- 第124页
- 第125页
- 第126页
- 第127页
- 第128页
- 第129页
- 第130页
- 第131页
8. (2025·泰安期中)清音公园是我市一道亮丽的风景线,如图所示,1.5 m深的荷花池内,一只长约10 cm的蜻蜓立于距水面0.6 m的荷尖上,下列说法正确的是 ( )

①荷尖最高点在水中的倒影与水面相距1.5 m
②映在平静池水的蜻蜓的“倒影”长约0.1 m
③若蜻蜓往远离水面的方向飞走,则它的像也远离水面,大小不变
④蜻蜓在池水中的像距离蜻蜓0.6 m
A.只有①②
B.只有②③
C.只有③④
D.只有①④
①荷尖最高点在水中的倒影与水面相距1.5 m
②映在平静池水的蜻蜓的“倒影”长约0.1 m
③若蜻蜓往远离水面的方向飞走,则它的像也远离水面,大小不变
④蜻蜓在池水中的像距离蜻蜓0.6 m
A.只有①②
B.只有②③
C.只有③④
D.只有①④
答案:
B
9. 某兴趣小组利用两块平面镜做了一个简易潜望镜,通过该潜望镜观察教室内的挂钟,指针位置如图所示,则该挂钟的实际时间是 ( )

A.4时35分
B.5时25分
C.6时35分
D.7时25分
A.4时35分
B.5时25分
C.6时35分
D.7时25分
答案:
D
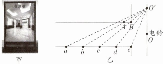
10. 一块仪容镜如图甲所示,放在某学校走廊的AB处,仪容镜靠墙而立,镜面与墙壁平行,在另一面墙壁上的O处悬挂一电铃,如图乙所示.为了总能看到电铃通过仪容镜所成的像O',小强同学沿着走廊的ae直线走动,若将人和电铃各自看作一个点,则小强同学所在的区间是 ( )

A.ab
B.bc
C.cd
D.de
A.ab
B.bc
C.cd
D.de
答案:
B
11. 如图所示,检查视力时,视力表挂在房间东面的墙上,被测者识别西面墙上镜子里的像.下列表述中正确的是 ( )

A.视力表在平面镜中所成的像能被我们看到,即为实像
B.若被测者看到“E”的像开口向北,则视力表上的该“E”开口向南
C.若被测者向平面镜靠近0.1 m,则她在镜中的像将变大
D.视力表在平面镜中的像与被测者相距5.4 m
A.视力表在平面镜中所成的像能被我们看到,即为实像
B.若被测者看到“E”的像开口向北,则视力表上的该“E”开口向南
C.若被测者向平面镜靠近0.1 m,则她在镜中的像将变大
D.视力表在平面镜中的像与被测者相距5.4 m
答案:
D
12. 十字路口矗立着一幢大楼,它临街的一面是用玻璃装饰的,如图所示.小刚在十字路口中心面向北而立,从大楼玻璃中看到一辆汽车向东行驶,驶到十字路口转弯向南行驶.这辆汽车实际是 ( )

A.向西行驶转弯向南行驶
B.向南行驶转弯向西行驶
C.向北行驶转弯向东行驶
D.向北行驶转弯向西行驶
A.向西行驶转弯向南行驶
B.向南行驶转弯向西行驶
C.向北行驶转弯向东行驶
D.向北行驶转弯向西行驶
答案:
D 解析:根据平面镜成像的特点,从大楼玻璃中看到一辆汽车向东行驶,驶到十字路口转弯向南行驶画出物体,如图所示,
从图中可以看出这辆小车向北行驶向西转弯.故选D.
D 解析:根据平面镜成像的特点,从大楼玻璃中看到一辆汽车向东行驶,驶到十字路口转弯向南行驶画出物体,如图所示,
查看更多完整答案,请扫码查看