1 小丽想买一杯饮品和一份主食,可以怎样搭配? 一共有多少种不同的搭配方法?
(1)填一填。

答:一共有( )种不同的搭配方法。
(2)用图形□和△分别代表饮品和主食,连一连。

答:一共有( )种不同的搭配方法。
(1)填一填。
答:一共有( )种不同的搭配方法。
(2)用图形□和△分别代表饮品和主食,连一连。
答:一共有( )种不同的搭配方法。
答案:
(1)牛奶 豆浆
6 (2)
6
(1)牛奶 豆浆
2 星期天,丽丽从家出发,去婷婷家叫上婷婷一起去博物馆。丽丽一共有多少种不同的走法? 用你喜欢的方法表示出来。

答案:
表示方法不唯一,如:
3×3=9(种) 答:丽丽一共有9种不同的走法。
表示方法不唯一,如:
3 两名同学做数学游戏,通过上下移动两张数字条,可以组成多少个不同的两位数?其中最大的数是多少? 最小的数是多少? 它们的差是多少?

答案:
4×4=16(个) 78 - 12=66 答:可以组成16个不同的两位数,其中最大的数是78,最小的数是12,它们的差是66。
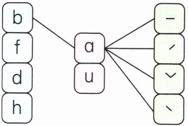
4 (跨学科融合)用声母 b、f、d、h 和韵母 a、u 以及 4 个声调符号一共可以发出多少个不同的音节?

答案:
4×2×4=32(个) 答:一共可以发出32个不同的音节。 解析 b 和 a 及 4 个声调符号的组合有4个不同的音节,b 和 u 及 4 个声调符号的组合也有4个不同的音节,那么由 b 开头的有8个不同的音节。以此类推,由 f、d、h 开头的也分别有8个不同的音节。一共可以发出4×2×4=32(个)不同的音节。
查看更多完整答案,请扫码查看