(二) 名著阅读。
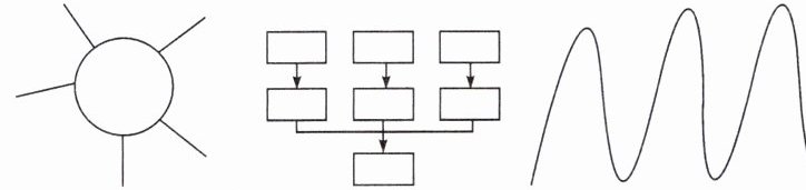
10. 请从以下备选名著中任选一部,根据你的阅读经验,为其选择一种合适的思维导图样式,并说明选择理由。(提示:可从人物、情节、主题等角度)

备选名著:《骆驼祥子》《钢铁是怎样炼成的》
____
A.树枝样式
B.流程样式
C.抛物样式
10. 请从以下备选名著中任选一部,根据你的阅读经验,为其选择一种合适的思维导图样式,并说明选择理由。(提示:可从人物、情节、主题等角度)
备选名著:《骆驼祥子》《钢铁是怎样炼成的》
____
A.树枝样式
B.流程样式
C.抛物样式
答案:
【示例一】可以用抛物样式思维导图梳理《骆驼祥子》的情节。将祥子省吃俭用苦干三年买了新车,祥子卖掉骆驼后继续拉车攒钱为第二辆车奋斗,虎妞低价给祥子买了邻居二强子的车三个情节放在抛物线的三个高峰处,将祥子连人带车被大兵抓走,祥子在曹家干包月时攒的钱被孙侦探敲诈走,祥子卖掉车为虎妞办丧事三个情节放在抛物线的三个低谷处。这样就能直观展现祥子“三起三落”的重要人生经历,能够帮助我们更好地把握小说情节。 【示例二】可以用树枝样式思维导图梳理《钢铁是怎样炼成的》中的人物。将保尔放在中心,将朱赫来、冬妮亚、丽达等人分别放在四周辐射的分支处,再将人物关系、重要事件、性格特征等方面标注到各人物的分支中。这样就将小说中的人物关系、相关事件和各自的性格特点清晰地呈现出来,有助于我们把握小说的人物关系和人物的形象特点。
(三) 阅读下面文言文,完成 11~14 题。
题画《十笏茅斋竹石图》
[清]郑 燮
十笏①茅斋,一方天井,修竹数竿,石笋数尺,其地无多,其费亦无多也。而风中雨中有声,日中月中有影诗中酒中有情闲中闷中有伴,非唯我爱竹石,即竹石亦爱予也。彼千金万金造园亭,或游宦②四方,终其身不能归享。而吾辈欲游名山大川,又一时不得即往,何如一室小景,有情有味,历久弥新乎? 对此画,构此境,何难敛之则退藏于密③,亦复放之可弥六合④也。
[注释]①笏(hù):古时计量单位。②游宦:离开家乡去做官。③退藏于密:收藏在隐秘的方寸之间。④六合:天地东西南北,称“六合”。
11. 解释画线词。
(1) 其费亦无多也( )
(2) 非唯我爱竹石( )
(3) 即竹石亦爱予也( )
(4) 或游宦四方( )
12. 下列画线词意义和用法与例句相同的一项是( )
例:亦复放之可弥六合也
A. 何陋之有
B. 无案牍之劳形
C. 当求之于上流
D. 水陆草木之花
13. 按要求完成题目。
(1) 用“/”划分朗读停顿。(限两处)
日 中 月 中 有 影 诗 中 酒 中 有 情 闲 中 闷 中 有 伴
(2) 用现代汉语翻译句子。
何如一室小景,有情有味,历久弥新乎?____
14. 刘禹锡借“陋室”表达自己的志趣。与之相似,选文也运用____的手法,借“____”,表达自己____的高尚情操。
题画《十笏茅斋竹石图》
[清]郑 燮
十笏①茅斋,一方天井,修竹数竿,石笋数尺,其地无多,其费亦无多也。而风中雨中有声,日中月中有影诗中酒中有情闲中闷中有伴,非唯我爱竹石,即竹石亦爱予也。彼千金万金造园亭,或游宦②四方,终其身不能归享。而吾辈欲游名山大川,又一时不得即往,何如一室小景,有情有味,历久弥新乎? 对此画,构此境,何难敛之则退藏于密③,亦复放之可弥六合④也。
[注释]①笏(hù):古时计量单位。②游宦:离开家乡去做官。③退藏于密:收藏在隐秘的方寸之间。④六合:天地东西南北,称“六合”。
11. 解释画线词。
(1) 其费亦无多也( )
(2) 非唯我爱竹石( )
(3) 即竹石亦爱予也( )
(4) 或游宦四方( )
12. 下列画线词意义和用法与例句相同的一项是( )
例:亦复放之可弥六合也
A. 何陋之有
B. 无案牍之劳形
C. 当求之于上流
D. 水陆草木之花
13. 按要求完成题目。
(1) 用“/”划分朗读停顿。(限两处)
日 中 月 中 有 影 诗 中 酒 中 有 情 闲 中 闷 中 有 伴
(2) 用现代汉语翻译句子。
何如一室小景,有情有味,历久弥新乎?____
14. 刘禹锡借“陋室”表达自己的志趣。与之相似,选文也运用____的手法,借“____”,表达自己____的高尚情操。
答案:
11.
(1) 也
(2) 只
(3) 我
(4) 有的人 12. C 13.
(1) 日中月中有影/诗中酒中有情/闲中闷中有伴
(2) 哪里比得上这一室小景,有情致有韵味,(即使)经历长久的时间(也能)更加鲜活? 14. 托物言志 茅斋 安贫乐道(或高洁傲岸、淡泊名利、不为物役等)
(1) 也
(2) 只
(3) 我
(4) 有的人 12. C 13.
(1) 日中月中有影/诗中酒中有情/闲中闷中有伴
(2) 哪里比得上这一室小景,有情致有韵味,(即使)经历长久的时间(也能)更加鲜活? 14. 托物言志 茅斋 安贫乐道(或高洁傲岸、淡泊名利、不为物役等)
(四) 阅读课外短文,完成 15~18 题。
徒步中国
——走出柴达木盆地
雷殿生
我走出可可西里,翻越昆仑山,进入柴达木盆地。这里人烟稀少,自然环境极为恶劣。走了几天,也没有见到一个人影。
已经好几天没吃东西,水也喝光了,我只能在戈壁滩找一些蚂蚁来解渴、充饥。在野外,如果抓到蚂蚁,你只要用舌头舔一舔它的屁股,它就会在瞬间释放出一种叫蚁酸的物质,这种物质能刺激人的腮腺产生口水,从而达到解渴的目的。等抓到几十只的时候,把它们一起放进嘴里吃掉,既解渴又能充饥。
为了解决饮水问题,我按照地图上的标示,先后找到过两个清澈的湖泊。当看到湖水的时候,我喜出望外,一路小跑,蹲在岸边,捧起湖水。但我并不敢直接饮用,我先闻了闻,没有异味,然后再用舌尖轻轻地舔了一下,舌尖瞬间起了一层小白泡,味道有些咸涩,还透着苦味,我知道这里的湖水中肯定含有多种对人体有害的矿物质。
在万般无奈的情况下,我只好把自己的尿接到水壶里,再放上净水药片,过滤后喝下去。因为长途跋涉,多日断水,尿液很黄,气味刺鼻。但如果不这样做,恐怕我就要渴死在路上了。
为了求生,我先后几次喝下自己的尿,但没过几天,连尿液都没有了。此时,我的嘴唇已经干裂,渗出的血水用舌头舔进嘴里,带着一股腥味。到了后来,我连舌头都不敢伸——嘴唇已经肿起来了。
我知道这样的状况如果再持续几天,我就得渴死。实在没办法,我一狠心,用刀尖划开了手指。看着鲜血冒出,我赶紧用嘴吮吸,以滋润一下干渴而肿胀的喉咙。
我就这样坚持着。每当坐在地上时,总感觉到在大自然面前,人的生命是如此渺小,有时甚至不及一只蚂蚁。但就是在这样的极端条件下,人的生命依然如此顽强! 第 5 天,我终于走到了公路上。此刻,我真想大喊几声,但嘴唇已经干裂,连张开都很困难。我感觉自己的身体已快没有水分了,就像一具活着的木乃伊。
我把背包放在路边,静静地坐在地上,等待着过往的车辆。当看见车辆从我身边经过时,我就使劲地晃动空水壶,示意给点儿水喝。七八辆车从我眼前开过,一辆都没有停下来。我绝望地站在路中间,神情沮丧。
在一阵痛苦的等待后,当又一辆车出现在我的视线里时,我没有放弃希望,又站在路中间继续疯狂地挥手。我心想,如果再不停车,它即使撞过来,我也决不让开。这一次,车终于慢慢地停下了,司机摇下车窗,大声呵斥道:“干什么呢? 你不要命啦?”
我无力地指了指衣服上写的“徒步走遍中国”的字样,赶紧说:“我没有水,也没有吃的了,请给我点儿水吧,哪怕是你把水箱里的水给我一点儿也行啊。”
司机犹豫了一下,打开车门走下来。他的车有一个很大的备用水箱,司机打开水箱龙头,我迫不及待地接了好几瓶水喝下去。水箱里的水浑浊且带有一股柴油味儿,但我已顾不上那么多了,活命要紧啊!
水灌饱了肚子,忽然返上一个嗝,一股浓烈的柴油味儿呛得我咳嗽了几声。我又把水壶和空瓶子都灌满,谢过司机,继续前进。
……
一次次在绝境中生存下来,在青海的这段日子令我既辛酸又难忘。我带着这份对生命的坚持与感动,继续行走在路上。
(有删改)
15. 文中的“我”为解决缺水问题,做了哪些尝试?____
16. 仔细品读文中的画线句,谈谈作者为什么说“人的生命是如此渺小”又“如此顽强”。____
17. 下列句子分别运用了什么描写方法? 有何作用?
(1) 当看到湖水的时候,我喜出望外,一路小跑,蹲在岸边,捧起湖水。____
(2) 我心想,如果再不停车,它即使撞过来,我也决不让开。____
18. 对于作者“徒步走遍中国”,历尽艰险,九死一生的做法,你是否赞同? 请简述理由。
____
徒步中国
——走出柴达木盆地
雷殿生
我走出可可西里,翻越昆仑山,进入柴达木盆地。这里人烟稀少,自然环境极为恶劣。走了几天,也没有见到一个人影。
已经好几天没吃东西,水也喝光了,我只能在戈壁滩找一些蚂蚁来解渴、充饥。在野外,如果抓到蚂蚁,你只要用舌头舔一舔它的屁股,它就会在瞬间释放出一种叫蚁酸的物质,这种物质能刺激人的腮腺产生口水,从而达到解渴的目的。等抓到几十只的时候,把它们一起放进嘴里吃掉,既解渴又能充饥。
为了解决饮水问题,我按照地图上的标示,先后找到过两个清澈的湖泊。当看到湖水的时候,我喜出望外,一路小跑,蹲在岸边,捧起湖水。但我并不敢直接饮用,我先闻了闻,没有异味,然后再用舌尖轻轻地舔了一下,舌尖瞬间起了一层小白泡,味道有些咸涩,还透着苦味,我知道这里的湖水中肯定含有多种对人体有害的矿物质。
在万般无奈的情况下,我只好把自己的尿接到水壶里,再放上净水药片,过滤后喝下去。因为长途跋涉,多日断水,尿液很黄,气味刺鼻。但如果不这样做,恐怕我就要渴死在路上了。
为了求生,我先后几次喝下自己的尿,但没过几天,连尿液都没有了。此时,我的嘴唇已经干裂,渗出的血水用舌头舔进嘴里,带着一股腥味。到了后来,我连舌头都不敢伸——嘴唇已经肿起来了。
我知道这样的状况如果再持续几天,我就得渴死。实在没办法,我一狠心,用刀尖划开了手指。看着鲜血冒出,我赶紧用嘴吮吸,以滋润一下干渴而肿胀的喉咙。
我就这样坚持着。每当坐在地上时,总感觉到在大自然面前,人的生命是如此渺小,有时甚至不及一只蚂蚁。但就是在这样的极端条件下,人的生命依然如此顽强! 第 5 天,我终于走到了公路上。此刻,我真想大喊几声,但嘴唇已经干裂,连张开都很困难。我感觉自己的身体已快没有水分了,就像一具活着的木乃伊。
我把背包放在路边,静静地坐在地上,等待着过往的车辆。当看见车辆从我身边经过时,我就使劲地晃动空水壶,示意给点儿水喝。七八辆车从我眼前开过,一辆都没有停下来。我绝望地站在路中间,神情沮丧。
在一阵痛苦的等待后,当又一辆车出现在我的视线里时,我没有放弃希望,又站在路中间继续疯狂地挥手。我心想,如果再不停车,它即使撞过来,我也决不让开。这一次,车终于慢慢地停下了,司机摇下车窗,大声呵斥道:“干什么呢? 你不要命啦?”
我无力地指了指衣服上写的“徒步走遍中国”的字样,赶紧说:“我没有水,也没有吃的了,请给我点儿水吧,哪怕是你把水箱里的水给我一点儿也行啊。”
司机犹豫了一下,打开车门走下来。他的车有一个很大的备用水箱,司机打开水箱龙头,我迫不及待地接了好几瓶水喝下去。水箱里的水浑浊且带有一股柴油味儿,但我已顾不上那么多了,活命要紧啊!
水灌饱了肚子,忽然返上一个嗝,一股浓烈的柴油味儿呛得我咳嗽了几声。我又把水壶和空瓶子都灌满,谢过司机,继续前进。
……
一次次在绝境中生存下来,在青海的这段日子令我既辛酸又难忘。我带着这份对生命的坚持与感动,继续行走在路上。
(有删改)
15. 文中的“我”为解决缺水问题,做了哪些尝试?____
16. 仔细品读文中的画线句,谈谈作者为什么说“人的生命是如此渺小”又“如此顽强”。____
17. 下列句子分别运用了什么描写方法? 有何作用?
(1) 当看到湖水的时候,我喜出望外,一路小跑,蹲在岸边,捧起湖水。____
(2) 我心想,如果再不停车,它即使撞过来,我也决不让开。____
18. 对于作者“徒步走遍中国”,历尽艰险,九死一生的做法,你是否赞同? 请简述理由。
____
答案:
15. ① 在戈壁滩找一些蚂蚁来解渴;② 按照地图上的标示,先后找到过两个清澈的湖泊;③ 先后几次喝下自己的尿;④ 用刀尖划开了手指,吮吸自己的血;⑤ 站在路中间拦车求水。 16. “渺小”是指在大自然面前,人的生命是渺小的、脆弱的;“顽强”是指人面对困境,执着求生,具有顽强的生命力。 17.
(1) 运用神态描写和动作描写,生动形象地写出了“我”对水的强烈渴望和见到湖水后的喜悦心情。
(2) 运用心理描写,写出了“我”没有放弃希望,宁可被车撞,也要拦住过往车辆找水喝的决心。 18. 【示例】赞同。作者为实现自己的理想,不畏艰险,付诸行动,这样的人生是充实的、有意义的。同时作者也强健了体魄,磨砺了意志,丰盈了心灵。
(1) 运用神态描写和动作描写,生动形象地写出了“我”对水的强烈渴望和见到湖水后的喜悦心情。
(2) 运用心理描写,写出了“我”没有放弃希望,宁可被车撞,也要拦住过往车辆找水喝的决心。 18. 【示例】赞同。作者为实现自己的理想,不畏艰险,付诸行动,这样的人生是充实的、有意义的。同时作者也强健了体魄,磨砺了意志,丰盈了心灵。
查看更多完整答案,请扫码查看