第46页
- 第1页
- 第2页
- 第3页
- 第4页
- 第5页
- 第6页
- 第7页
- 第8页
- 第9页
- 第10页
- 第11页
- 第12页
- 第13页
- 第14页
- 第15页
- 第16页
- 第17页
- 第18页
- 第19页
- 第20页
- 第21页
- 第22页
- 第23页
- 第24页
- 第25页
- 第26页
- 第27页
- 第28页
- 第29页
- 第30页
- 第31页
- 第32页
- 第33页
- 第34页
- 第35页
- 第36页
- 第37页
- 第38页
- 第39页
- 第40页
- 第41页
- 第42页
- 第43页
- 第44页
- 第45页
- 第46页
- 第47页
- 第48页
- 第49页
- 第50页
- 第51页
- 第52页
- 第53页
- 第54页
- 第55页
- 第56页
- 第57页
- 第58页
- 第59页
- 第60页
- 第61页
- 第62页
- 第63页
- 第64页
- 第65页
- 第66页
- 第67页
- 第68页
- 第69页
- 第70页
- 第71页
- 第72页
- 第73页
- 第74页
- 第75页
- 第76页
- 第77页
- 第78页
- 第79页
- 第80页
- 第81页
- 第82页
- 第83页
- 第84页
- 第85页
- 第86页
- 第87页
- 第88页
- 第89页
- 第90页
- 第91页
- 第92页
- 第93页
10. 海水中含量最高的元素是 (
A. H
B. O
C. Na
D. Cl
B
)A. H
B. O
C. Na
D. Cl
答案:
B
11. 下列符号不具有宏观意义,只具有微观意义的是 (
A. Mg
B. N
C. 2H
D. S
C
)A. Mg
B. N
C. 2H
D. S
答案:
C
12. (淮安)人体中缺少某些元素,会影响身体健康。为有效预防骨质疏松和佝偻病,可在饮食中适量补充的元素是 (
A. 碘
B. 硒
C. 钙
D. 锌
C
)A. 碘
B. 硒
C. 钙
D. 锌
答案:
C
13. (苏州吴江一模)元素与人体健康息息相关,下列食品对预防缺铁性贫血有较好效果的是 (
A. 加铁酱油
B. 高钙牛奶
C. 富硒茶叶
D. 含碘食盐
A
)A. 加铁酱油
B. 高钙牛奶
C. 富硒茶叶
D. 含碘食盐
答案:
A
14. 写出下列元素符号或名称。
Si
Si
硅
;锌Zn
;K钾
;氢H
;Mn锰
;S硫
;铝Al
。
答案:
硅 $ Zn $ 钾 $ H $ 锰 硫 $ Al $
15. 我国早期的化学著作《化学鉴原》(1871年)中把一种元素翻译为“矽(xi)”。
(1)该元素在地壳里的含量占第二位,现在这种“矽”元素的名称为
A. 硅 B. 硒 C. 锡 D. 氧
(2)该元素属于
(1)该元素在地壳里的含量占第二位,现在这种“矽”元素的名称为
A
(填字母)。A. 硅 B. 硒 C. 锡 D. 氧
(2)该元素属于
非金属
(填“金属”或“非金属”)元素。
答案:
(1) A
(2) 非金属
(1) A
(2) 非金属
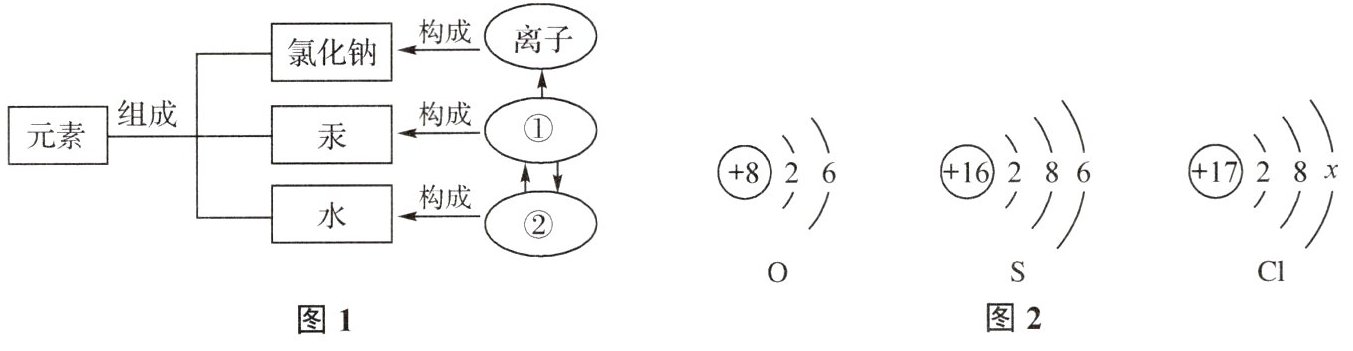
16. 在宏观、微观和符号之间建立联系是化学学科的特点。

(1)物质的组成及构成关系如图1所示,图中①表示的是
(2)下列说法正确的是
A. 氯化氢是由氢、氯两种元素组成的
B. 氯化氢是由氢气和氯气混合而成的
C. 氯化氢是由一个氢原子和一个氯原子构成的
(3)图2是氧、硫、氯三种元素的原子结构示意图。
①氯原子的结构示意图中x的数值是
②氧和硫两种元素的化学性质具有相似性的原因是它们原子的
③氧和氯两种元素最本质的区别是它们原子中的
(1)物质的组成及构成关系如图1所示,图中①表示的是
原子
,②表示的是分子
。(2)下列说法正确的是
A
(填字母)。A. 氯化氢是由氢、氯两种元素组成的
B. 氯化氢是由氢气和氯气混合而成的
C. 氯化氢是由一个氢原子和一个氯原子构成的
(3)图2是氧、硫、氯三种元素的原子结构示意图。
①氯原子的结构示意图中x的数值是
7
。②氧和硫两种元素的化学性质具有相似性的原因是它们原子的
最外层电子数
相同。③氧和氯两种元素最本质的区别是它们原子中的
质子数
不同。
答案:
(1) 原子 分子
(2) A
(3) ①7 ②最外层电子数 ③质子数
(1) 原子 分子
(2) A
(3) ①7 ②最外层电子数 ③质子数
查看更多完整答案,请扫码查看